Thorpe reaction
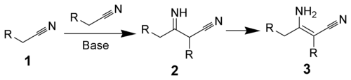
The Thorpe reaction is a chemical reaction described as a self-condensation of aliphatic nitriles catalyzed by base to form enamines. The reaction was discovered by Jocelyn Field Thorpe.

Thorpe–Ziegler reaction
The Thorpe–Ziegler reaction (named after Jocelyn Field Thorpe and Karl Ziegler), or Ziegler method, is the intramolecular modification with a dinitrile as a reactant and a cyclic ketone as the final reaction product after acidic hydrolysis. The reaction is conceptually related to the Dieckmann condensation.
References
- ^ Baron, H.; Remfry, F. G. P.; Thorpe, Y. F. (1904). "CLXXV.?The formation and reactions of imino-compounds. Part I. Condensation of ethyl cyanoacetate with its sodium derivative". J. Chem. Soc. 85: 1726. doi:10.1039/ct9048501726.
- ^ Karl Ziegler; et al. (1933). Ann. 504: 94. Missing or empty
|title=(help) - ^ Schaefer, J. P.; Bloomfield, J. J. (1967). "The Dieckmann Condensation (Including the Thorpe-Ziegler Condensation)". Org. React. 15. p. 1. doi:10.1002/0471264180.or015.01. ISBN 0471264180.
External links
- Thorpe-Ziegler reaction: 4-Phosphorinanone, 1-phenyl- Organic Syntheses, Coll. Vol. 6, p. 932 (1988); Vol. 53, p. 98 (1973) Link
This article is issued from Wikipedia - version of the 6/6/2016. The text is available under the Creative Commons Attribution/Share Alike but additional terms may apply for the media files.