Cefazaflur
![]() | |
| Clinical data | |
|---|---|
| ATC code | none |
| Identifiers | |
| |
| CAS Number | 52123-49-6 |
| PubChem (CID) | 40240 |
| ChemSpider | 36777 |
| UNII |
97I0692RNT |
| KEGG |
D03422 |
| ChEMBL | CHEMBL2104456 |
| Chemical and physical data | |
| Formula | C13H13F3N6O4S3 |
| Molar mass | 470.470 g/mol |
| 3D model (Jmol) | Interactive image |
| |
| |
| (verify) | |
Cefazaflur (INN) is a first-generation cephalosporin antibiotic.
Synthesis
Cefazaflur stands out among this group of analogues because it lacks an arylamide C-7 side chain (see cephacetrile for another example).

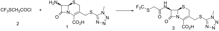
Cefazaflur synthesis:[1]
Cefazaflur is synthesized by reaction of 3-(1-methyl-1H-tetrazol-5-ylthiomethylene)-7-amino-cephem-4-carboxylic acid (1) with trifluoromethylthioacetyl chloride (2).
References
- ↑ Demarinis, R. M.; Boehm, J. C.; Dunn, G. L.; Hoover, J. R. E.; Uri, J. V.; Guarini, J. R.; Phillips, L.; Actor, P.; Weisbach, J. A. (1977). "Semisynthetic cephalosporins. Synthesis and structure-activity relations of analogs with 7-acyl groups derived from 2-(cyanomethylthio)acetic acid or 2-[(2,2,2-trifluoroethyl)thio]acetic acid and their sulfoxides and sulfones". Journal of Medicinal Chemistry. 20 (1): 30–5. doi:10.1021/jm00211a006. PMID 319233.
This article is issued from Wikipedia - version of the 4/2/2016. The text is available under the Creative Commons Attribution/Share Alike but additional terms may apply for the media files.
