Nandrolone
![]() | |
| Clinical data | |
|---|---|
| Pronunciation | /ˈnændrəloʊn/[1] |
| Pregnancy category | |
| Routes of administration | Intramuscular |
| ATC code | A14AB01 (WHO) S01XA11 (WHO) |
| Legal status | |
| Legal status |
|
| Pharmacokinetic data | |
| Bioavailability |
2.24% (Oral) 100% (Intramuscular) |
| Metabolism | Hepatic |
| Biological half-life | 6 days |
| Excretion | ~21 days |
| Identifiers | |
| |
| Synonyms | Nortestosterone, 19-nortestosterone, 10-nortestosterone, norandrostenolone, nortestosterone, nortestrionate, nortestonate, oestrenolone, estrenolone, SG-4341[2][3] |
| CAS Number |
434-22-0 |
| PubChem (CID) | 9904 |
| IUPHAR/BPS | 6949 |
| DrugBank |
DB00984 |
| ChemSpider |
9520 |
| UNII |
6PG9VR430D |
| ChEBI |
CHEBI:7466 |
| ChEMBL |
CHEMBL757 |
| Chemical and physical data | |
| Formula | C18H26O2 |
| Molar mass | 274.40 |
| 3D model (Jmol) | Interactive image |
| |
| |
| | |
Nandrolone (INN, BAN), also known as 19-nortestosterone or 19-norandrostenolone, is a synthetic anabolic-androgenic steroid (AAS) derived from testosterone.[2][3] The drug itself is inactive orally due to its lack of a 17α-alkyl group (which renders it vulnerable to extensive first-pass metabolism) and is not actually employed in medicine.[3][4] Instead, nandrolone is used in the form of a variety of long-acting prodrug esters (see nandrolone ester) for intramuscular injection, the most common of which are nandrolone decanoate (Deca-Durabolin, Eubolin, Retabolil) and, to a lesser extent, nandrolone phenylpropionate (Durabolin, Fenobolin).[3][4]
Pharmacology
The positive effects of the drug include muscle growth, appetite stimulation and increased red blood cell production, and bone density.[5] Clinical studies have shown it to be effective in treating anemia, osteoporosis and some forms of neoplasia including breast cancer, and also acts as a progestin-based contraceptive.
Unlike testosterone and certain other anabolic steroids, nandrolone is not potentiated in androgenic tissues like the scalp, skin, and prostate, and hence, deleterious effects in these tissues are lessened to a degree.[6] This is because nandrolone is metabolized by 5α-reductase to the much weaker androgen 5α-dihydronandrolone (DHN), which has both reduced affinity for the androgen receptor (AR) relative to nandrolone in vitro and weaker androgenic activity in vivo.[6] The lack of alkylation on the 17α-carbon drastically reduces the hepatotoxic potential of nandrolone. Estrogenic effects resulting from reaction with aromatase are also reduced due to lessened enzyme interaction,[7] but effects such as gynaecomastia and reduced libido may still occur at sufficiently high doses. Other side effects of high doses can include erectile dysfunction and cardiovascular damage, as well as several ailments resulting from the drug's effect of lowering levels of luteinizing hormone through negative feedback. Erectile dysfunction is attributed to the weaker action of DHN in the penis since dihydrotestosterone (DHT) is a known sexual modulator.
In addition to its androgenic/anabolic activity, unlike many other AAS, nandrolone is also a potent progestogen.[8] It binds to the progesterone receptor with approximately 22% of the affinity of progesterone.[8] The progestogenic activity of nandrolone may serve to augment its antigonadotropic effects,[9] as antigonadotropic action is a known property of progestogens.[10][11]
Ratio of androgenic and anabolic effects
Nandrolone has a very high ratio of anabolic to androgenic action.[12] In fact, nandrolone-like AAS like nandrolone itself and trenbolone are said to have among the highest ratio of anabolic to androgenic effect of all AAS.[9] This is attributed to the fact that, whereas testosterone is potentiated via conversion into dihydrotestosterone (DHT) in androgenic tissues, the opposite is true with nandrolone and similar AAS (i.e., other 19-nortestosterone derivatives).[12] As such, nandrolone-like AAS, namely nandrolone esters, are the most frequently used AAS in clinical settings in which anabolic effects are desired; for instance, in the treatment of AIDS-associated cachexia, severe burns, and chronic obstructive pulmonary disease.[9] However, AAS with a very high ratio of anabolic to androgenic action like nandrolone still have significant androgenic effects and can produce symptoms of virilization like hirsutism and voice deepening in women and children with extended use.[12]
Pharmacokinetics
Metabolism
Nandrolone is metabolized by the enzyme 5α-reductase, among others. Metabolites of nandrolone include 5α-dihydronandrolone, 19-norandrosterone, and 19-noretiocholanolone, and these metabolites may be detected in urine.[13]
Chemistry
Nandrolone is also known chemically as estra-4-en-17β-ol-3-one or 19-norandrost-4-en-17β-ol-3-one.[14] It is the 19-demethylated analogue of testosterone, and for this reason, is also known as 19-nortestosterone.[14][15]
Derivatives
Esters
A large number of nandrolone esters have been marketed and used clinically (see here for a full list). The most commonly used esters are nandrolone decanoate and nandrolone phenylpropionate.
Anabolic steroids
Nandrolone is the parent compound of a large group of AAS (see here and here for a list). Notable examples include the non-17α-alkylated trenbolone and the 17α-alkylated ethylestrenol (ethylnandrol) and metribolone (R-1881), as well as the 17α-alkylated designer steroids norboletone and tetrahydrogestrinone (THG).
Progestins
Nandrolone is also the parent compound of a large group of progestins.[16][17] They are subdivided into two groups, the estranes and the gonanes.[16] The estranes include norethisterone (norethindrone), norethisterone acetate, norethisterone enanthate, lynestrenol, etynodiol diacetate, and noretynodrel, while the gonanes include norgestrel, levonorgestrel, desogestrel, etonogestrel, gestodene, norgestimate, dienogest, and norelgestromin.[16]
Synthesis
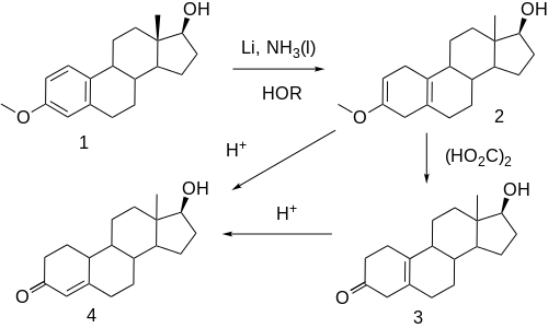
The elaboration of a method for the reduction of aromatic rings to the corresponding dihydrobenzenes under controlled conditions by A. J. Birch opened a convenient route to compounds related to the putative norprogesterone.
This reaction, now known as the Birch reduction,[21] is typified by the treatment of the monomethyl ether of estradiol (1) with a solution of lithium metal in liquid ammonia in the presence of alcohol as a proton source. Initial reaction constituents of 1,4-dimetalation of the most electron deficient positions of the aromatic ring–in the case of an estrogen, the 1 and 4-positions. Rxn of the intermediate with the proton source leads to a dihydrobenzene; a special virtue of this sequence in steroids is the fact that the double bind at 2 is in effect becomes an enol ether moiety. Treatment of this product (2) with weak acid, oxalic acid for e.g., leads to the hydrolysis of the enol ether, producing β,γ-unconjugated ketone 3. Hydrolysis under more sternuous conditions (mineral acids) results in migration/conjugation of the olefin to yield nandrolone (4).
Esters
- Treatment of 4 with decanoic anhydride and pyridine affords nandrolone decanoate.[22]
- Acylation of 4 with phenylpropionyl chloride yields nandrolone phenpropionate.[23]
Detection in body fluids
Nandrolone use is directly detectable in hair or indirectly detectable in urine by testing for the presence of 19-norandrosterone, a metabolite. The International Olympic Committee has set a limit of 2.0 μg/L of 19-norandrosterone in urine as the upper limit,[24] beyond which an athlete is suspected of doping. In the largest nandrolone study performed on 621 athletes at the 1998 Nagano Olympic Games, no athlete tested over 0.4 μg/L. 19-Norandrosterone was identified as a trace contaminant in commercial preparations of androstenedione, which until 2004 was available without a prescription as a dietary supplement in the U.S.[25][26][27][28]
A number of nandrolone cases in athletics occurred in 1999, which included high-profile athletes such as Merlene Ottey, Dieter Baumann and Linford Christie.[29] However, the following year the detection method for nandrolone at the time was proved to be faulty. Mark Richardson, a British Olympic relay runner who tested positive for the substance, gave a significant amount of urine samples in a controlled environment and delivered a positive test for the drug, demonstrating that false positives could occur, which led to an overhaul of his competitive ban.[30]
Heavy consumption of the essential amino acid lysine (as indicated in the treatment of cold sores) has allegedly shown false positives in some and was cited by American shotputter C. J. Hunter as the reason for his positive test, though in 2004 he admitted to a federal grand jury that he had injected nandrolone.[31] A possible cause of incorrect urine test results is the presence of metabolites from other anabolic steroids, though modern urinalysis can usually determine the exact steroid used by analyzing the ratio of the two remaining nandrolone metabolites. As a result of the numerous overturned verdicts, the testing procedure was reviewed by UK Sport. On October 5, 2007, five-time gold medalist for track and field Marion Jones admitted to use of the drug, and was sentenced to six months in jail for lying to a federal grand jury in 2000.[32]
Mass spectrometry is also used to detect small samples of nandrolone in urine samples, as it has a unique molar mass.
History

Nandrolone was first synthesized in 1950.[2][14][15][33] It was first introduced, as nandrolone phenylpropionate and then as nandrolone decanoate, in 1959 and 1962, respectively.[34]
Society and culture
Publicized abuse cases
- In November 1994, South Africa's Jamie Bloem was the first rugby league footballer to test positive for nandrolone. He was banned for two years.[35]
- Spain's Pep Guardiola tested positive for nandrolone while playing for Brescia.[36]
- Petr Korda tested positive for nandrolone after his 1998 Wimbledon quarter final match against Tim Henman. Korda was banned from tennis for one year from September 1999.[37]
- Roger Clemens, who was a member of the 2000 World Series winning New York Yankees, was reported to have been injected with nandrolone (Deca-Durabolin) by major league strength coach Brian McNamee during the 2000 baseball season.[38]
- ATP Tennis Pro Guillermo Coria tested positive for nandrolone in 2001, causing him to be suspended for 6 months from the sport[39]
- UFC Hall of Famer Royce Gracie tested positive for nandrolone after defeating his longtime rival Kazushi Sakuraba at K-1 Dynamite!! USA in 2007. He was fined $2,500 and suspended for the remainder of his license.[40]
- Shoaib Akhtar, a Pakistani cricketer, was given a two-year ban in 2006 for testing positive for nandrolone. Shoaib was sent back to Pakistan and missed out competing for the Champions Trophy. The verdict, however, was overturned by a three-man tribunal a month later.[41]
- Sean Sherk, former UFC Lightweight Champion, tested positive for nandrolone following his title defence to Hermes Franca at UFC 73 Interestingly enough, Franca also tested positive for Nandrolone. Sherk passed a lie detector test claiming that he did not knowingly take steroids but the UFC still stripped Sherk of the lightweight title.[42]
- Linford Christie, a British sprinter and 1992 Olympic gold medalist, tested positive for nandrolone in 1999.[43]
- Former Maryland Terrapin and NBA player Juan Dixon tested positive for use of this drug in 2009, which earned him a suspension by the International Basketball Federation.[44]
- In September 2010, Baltimore Orioles minor league shortstop Alfredo Zambrano received a 50-game suspension for the 2011 season as a result of testing positive for metabolites of nandrolone.[45]
- Indian athlete Rani Yadav and Sri Lankan boxer Manju Wanniarachchi tested positive for nandrolone at the 2010 Commonwealth Games.[46]
- British tennis player Greg Rusedski tested positive for nandrolone in January 2004,[47] but was cleared of the charges in a hearing on 10 March 2004.[48]
- In August 2014, New York Mets minor league right handed pitcher Derrick Bernard received a 62-game suspension as a result of testing positive for metabolites of nandrolone.[49]
- In 2016, Polish weightlifter Adrian Zieliński was disqualified from the Rio Olympic Games after testing positive for Nandrolone.
See also
- List of androgens/anabolic steroids
- 19-Norprogesterone
- Dienolone
- Dimethandrolone
- Oxabolone
- Trenbolone
- Trestolone
References
- ↑ http://dictionary.cambridge.org/dictionary/british/nandrolone
- 1 2 3 J. Elks (14 November 2014). The Dictionary of Drugs: Chemical Data: Chemical Data, Structures and Bibliographies. Springer. pp. 660–. ISBN 978-1-4757-2085-3.
- 1 2 3 4 Index Nominum 2000: International Drug Directory. Taylor & Francis. January 2000. pp. 716–. ISBN 978-3-88763-075-1.
- 1 2 Walter Sneader (23 June 2005). Drug Discovery: A History. John Wiley & Sons. pp. 206–. ISBN 978-0-471-89979-2.
- ↑ Handelsman, David J (2013). "Androgen Physiology, Pharmacology and Abuse". In De Groot, Leslie J. Endotext. 4.1.2 Pharmacologic Androgen Therapy – via NCBI Bookshelf.
Both testosterone and its non-aromatizable derivative nandrolone, produce increased bone density in men with glucocorticoid-induced osteoporosis with minimal short-term side-effects....
- 1 2 Bergink EW, Janssen PS, Turpijn EW, van der Vies J (1985). "Comparison of the receptor binding properties of nandrolone and testosterone under in vitro and in vivo conditions". J. Steroid Biochem. 22 (6): 831–6. PMID 4021486.
- ↑ Brueggemeier RW (September 16, 2006). "Sex Hormones (Male): Analogs and Antagonists". In Meyers RA. Encyclopedia of Molecular Cell Biology and Molecular Medicine. Encyclopedia of Molecular Cell Biology and Molecular Medicine (abstract). John Wiley & Sons. doi:10.1002/3527600906.mcb.200500066. ISBN 3527600906. Retrieved March 2, 2013.
- 1 2 Kuhl H (2005). "Pharmacology of estrogens and progestogens: influence of different routes of administration". Climacteric. 8 Suppl 1: 3–63. doi:10.1080/13697130500148875. PMID 16112947.
- 1 2 3 de Souza GL, Hallak J (2011). "Anabolic steroids and male infertility: a comprehensive review". BJU Int. 108 (11): 1860–5. doi:10.1111/j.1464-410X.2011.10131.x. PMID 21682835.
- ↑ Couzinet B, Young J, Brailly S, Chanson P, Thomas JL, Schaison G (1996). "The antigonadotropic activity of progestins (19-nortestosterone and 19-norprogesterone derivatives) is not mediated through the androgen receptor". J. Clin. Endocrinol. Metab. 81 (12): 4218–23. doi:10.1210/jcem.81.12.8954018. PMID 8954018.
- ↑ Mauvais-Jarvis, P. "Progesterone and progestins: a general overview." (1983): 1-16.
- 1 2 3 Kicman AT (2008). "Pharmacology of anabolic steroids". Br. J. Pharmacol. 154 (3): 502–21. doi:10.1038/bjp.2008.165. PMC 2439524
. PMID 18500378. - ↑ David R. Mottram (12 November 2010). Drugs in Sport. Routledge. pp. 63–. ISBN 978-1-135-25825-2.
- 1 2 3 R Schnitzer (1 January 1967). Experimental Chemotherapy. Elsevier Science. pp. 165–. ISBN 978-0-323-14611-1.
- 1 2 Detlef Thieme; Peter Hemmersbach (18 December 2009). Doping in Sports. Springer Science & Business Media. pp. 130–. ISBN 978-3-540-79088-4.
- 1 2 3 Schindler, Adolf E; Campagnoli, Carlo; Druckmann, René; Huber, Johannes; Pasqualini, Jorge R; Schweppe, Karl W; Thijssen, Jos H.H (2003). "Classification and pharmacology of progestins". Maturitas. 46: 7–16. doi:10.1016/j.maturitas.2003.09.014. ISSN 0378-5122.
- ↑ A. Wayne Meikle (24 April 2003). Endocrine Replacement Therapy in Clinical Practice. Springer Science & Business Media. pp. 489–. ISBN 978-1-59259-375-0.
Estranes. Estrane and gonane progestogens are derived from 19-nortestosterone, the progestogenic parent compound used in oral contraceptives in the United States. Estranes are characterized by the presence of an ethinyl group at position 17 and by the absence of a methyl group between the A and B rings (see Fig. 10). The estrane progestogens that are related structurally to norethindrone (norethynodrel, lynestrenol, norethindrone acetate, ethynodiol diacetate) are converted to this parent compound. Norethindrone is the second most commonly used progestogen in the United States for HRT. Gonanes. The gonanes share the structural modifications found in the estranes and also possess an ethinyl group at position 13 and a keto group at position 3 (see Fig. 11). Norgestrel was synthesized in 1963 and is a racemic mixture of dextro and levorotatory forms. The levorotatory form, levonorgestrel, provides the biologic activity. Third-generation gonanes (desogestrel, gestodene, and norgestimate) have been developed to reduce unwanted side effects of progestogens, [...]
- ↑ Wilds, A. L.; Nelson, Norman A. (1953). "The Facile Synthesis of 19-Nortestosterone and 19-Norandrostenedione from Estrone". Journal of the American Chemical Society. 75 (21): 5366. doi:10.1021/ja01117a065.
- ↑ Ueberwasser, H.; Heusler, K.; Kalvoda, J.; Meystre, Ch.; Wieland, P.; Anner, G.; Wettstein, A. (1963). "19-Norsteroide II. Ein einfaches Herstellungsverfahren für 19-Norandrostan-Derivate. Über Steroide, 193. Mitteilung". Helvetica Chimica Acta. 46: 344. doi:10.1002/hlca.19630460135.
- ↑ Shimizu, Isao; Naito, Yoichiro; Tsuji, Jiro (1980). "Synthesis of optically active (+)-19-nortestosterone by asymmetric bis-annulation reaction". Tetrahedron Letters. 21 (5): 487. doi:10.1016/S0040-4039(00)71440-7.
- ↑ Birch, Arthur J. (1950). "The reduction of organic compounds by metal-ammonia solutions". Quarterly Reviews, Chemical Society. 4: 69. doi:10.1039/QR9500400069.
- ↑ DeWytt, E. D.; Overbeek, O.; Overbeek, G. A.; U.S. Patent 2,998,423 (1961 to Organon).
- ↑ CH 206119 (1939 to Gesellschaft für Chemische Industrie Basel).
- ↑ "Clarification about Nandrolone Testing". World Anti-Doping Agency. 2005-05-30. Retrieved 2012-01-31.
- ↑ Bresson M, Cirimele V, Villain M, Kintz P (May 2006). "Doping control for metandienone using hair analyzed by gas chromatography-tandem mass spectrometry". J. Chromatogr. B Analyt. Technol. Biomed. Life Sci. 836 (1–2): 124–8. doi:10.1016/j.jchromb.2006.03.040. PMID 16597518.
- ↑ Ueki M, Ikekita A, Takao Y (2000). "[Nandrolone metabolite in urine of Nagano Olympic athlete]". Jap. J. For. Tox. (in Japanese). 18: 198–199.
- ↑ Catlin DH, Leder BZ, Ahrens B, Starcevic B, Hatton CK, Green GA, Finkelstein JS (2000). "Trace contamination of over-the-counter androstenedione and positive urine test results for a nandrolone metabolite". JAMA. 284 (20): 2618–21. doi:10.1001/jama.284.20.2618. PMID 11086369.
- ↑ Baselt RC (2008). Disposition of Toxic Drugs and Chemicals in Man (8th ed.). Foster City, CA: Biomedical Publications. pp. 1078–1080. ISBN 0-9626523-7-7.
- ↑ Baron, Peter (2000-09-19). The Drugs Issue: Baumann to fight all the way. The Daily Telegraph. Retrieved on 2010-11-13.
- ↑ Richardson M (2004-02-19). "Athletics: Mark Richardson explains how he felt at his disciplinary hearing". Athletics. London: The Guardian. Retrieved 2010-11-13.
It was as daunting a line-up as I had ever faced on athletics tracks
- ↑ "Track Star Marion Jones to Admit Steroid Use". National Public Radio. 2007-10-05. Retrieved 2009-11-09.
- ↑ UK Sport Anti-doping Directorate (January 2000). Nandrolone Review (PDF) (Report). UK Sport. Archived from the original (PDF) on 2005-04-04. Retrieved 2013-02-02.
- ↑ Birch, Arthur J. (1950). "80. Hydroaromatic steroid hormones. Part I. 10-Nortestosterone". Journal of the Chemical Society (Resumed): 367. doi:10.1039/jr9500000367. ISSN 0368-1769.
- ↑ Consolidated List of Products Whose Consumption And/or Sale Have Been Banned, Withdrawn, Severely Restricted Or Not Approved by Governments. United Nations Publications. 1983. pp. 154–. ISBN 978-92-1-130230-1.
- ↑ "Disgraced Hudson faces sack from Bulls". Daily Mail. London. March 10, 2005.
- ↑ "Guardiola fails second test". BBC News. November 28, 2001.
- ↑ "Korda failed Wimbledon drugs test". BBC. December 23, 1998.
- ↑ All-Star Roster Shows Up on Mitchell Report washingtonpost.com, 12-13-2007
- ↑ "BBC Sport".
- ↑ "Royce Gracie Suspended, Fined For Steroids | TheSweetScience.com Boxing". Thesweetscience.com. Retrieved November 9, 2009.
- ↑ "Cricinfo - A tale of intrigue, injuries and incidents". Content-ind.cricinfo.com. January 1, 1970. Retrieved November 9, 2009.
- ↑ "Sean Sherk". Cage Potato. January 1, 1970. Retrieved September 12, 2010.
- ↑ "news.bbc.co.uk/2/hi/sport/411951.stm". BBC News. August 4, 1999. Retrieved November 9, 2009.
- ↑ "Former NBA player banned after steroid test". USA Today. February 13, 2010.
- ↑ "Three Minor League players suspended". MLB.com. September 30, 2010.
- ↑ Indian athlete Rani Yadav fails dope test at Commonwealth Games, The Times of India, October 13, 2010.
- ↑ "news.bbc.co.uk/sport1/hi/tennis/3381111.stm". BBC News. January 9, 2004. Retrieved July 2, 2011.
- ↑ "http://news.bbc.co.uk/sport1/hi/tennis/3547917.stm". BBC News. March 10, 2004. Retrieved July 2, 2011. External link in
|title=(help) - ↑ "Minor leaguer suspended". August 13, 2014.

