Allylic rearrangement
An allylic rearrangement or allylic shift is an organic reaction in which the double bond in an allyl chemical compound shifts to the next carbon atom. It is encountered in nucleophilic substitution.
In reaction conditions that favor a SN1 reaction mechanism the intermediate is a carbocation for which several resonance structures are possible. This explains the product distribution (or product spread) after recombination with nucleophile Y. This type of process is called an SN1' substitution.
Alternatively, it is possible for nucleophile to attack directly at the allylic position, displacing the leaving group in a single step, in a process referred to as SN2' substitution. This is likely in cases when the allyl compound is unhindered, and a strong nucleophile is used. The products will be similar to those seen with SN1' substitution. Thus reaction of 1-chloro-2-butene with sodium hydroxide gives a mixture of 2-buten-1-ol and 3-buten-2-ol:
Nevertheless, the product in which the OH group is on the primary atom is minor. In the substitution of 1-chloro-3-methyl-2-butene, the tertiary 2-methyl-3-buten-2-ol is produced in a yield of 85%, while that for the primary 3-methyl-2-buten-1-ol is 15%.
In one reaction mechanism the nucleophile attacks not directly at the electrophilic site but in a conjugate addition over the double bond:
Scope
The synthetic utility can be extended to substitutions over butadiene bonds:[1]

- Reaction in methanol and catalyst diisopropylethylamine
In the first step of this macrocyclization the thiol group in one end of 1,5-pentanedithiol reacts with the butadiene tail in 1 to the enone 2 in an allylic shift with a sulfone leaving group which reacts further with the other end in a conjugate addition reaction.
In one study[2] the allylic shift was applied twice in a ring system:
In this reaction sequence a Jacobson epoxidation adds an epoxy group to a diene which serves as the leaving group in reaction with the pyrazole nucleophile. The second nucleophile is methylmagnesium bromide expulsing the pyrazole group.
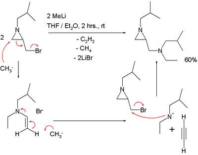
An SN2' reaction should explain the outcome of the reaction of an aziridine carrying a methylene bromide group with methyllithium:[3]
In this reaction one equivalent of acetylene is lost.
Examples of allylic shifts:
SN2' reduction
In one adaptation called a SN2' reduction a formal organic reduction on an allyl group containing a good leaving group is accompanied by a rearrangement. One example of such reaction is found as part of a Taxol total synthesis (ring C):[4]
The hydride is lithium aluminium hydride and the leaving group a phosphonium salt. The product contains a new exocyclic double bond. Only when the cyclohexane ring is properly substituted will the proton add in a trans position with respect to the adjacent methyl group. A conceptually related reaction is the Whiting reaction forming dienes.
Electrophilic allyl shifts
Allyl shifts can also take place with electrophiles. In the example below the carbonyl group in benzaldehyde is activated by diboronic acid prior to reaction with the allyl alcohol (see: Prins reaction):[5][6]
References
- ↑ Molecular yardsticks. Synthesis of extended equilibrium transfer alkylating cross-link reagents and their use in the formation of macrocyclesStephen J. Brocchini, Martin Eberle, and Richard G. Lawton J. Am. Chem. Soc.; 1988; 110(15) pp 5211 - 5212; doi:10.1021/ja00223a061
- ↑ Double Lawton SN2'Addition to Epoxyvinyl Sulfones: Selective Construction of the Stereotetrads of Aplyronine A Ahmad El-Awa and Philip Fuchs Org. Lett.; 2006; 8(14) pp 2905 - 2908; (Letter) doi:10.1021/ol060530l
- ↑ Highly unusual conversion of 1-alkyl-2-(bromomethyl)aziridines into 1-alkyl-2-(N-alkyl-N-ethylaminomethyl)aziridines using methyllithium Matthias D'hooghe and Norbert De Kimpe Chem. Commun., 2007, 1275 - 1277, doi:10.1039/b616606g
- ↑ Synthetic Studies on Taxol: Highly Stereoselective Construction of the Taxol C-Ring via SN2' Reduction of an Allylic Phosphonium Salt Masayuki Utsugi, Masayuki Miyano, and Masahisa Nakada Org. Lett.; 2006; 8(14) pp 2973 - 2976; (Letter) doi:10.1021/ol0608606
- ↑ Highly Selective and Robust Palladium-Catalyzed Carbon-Carbon Coupling between Allyl Alcohols and Aldehydes via Transient Allylboronic Acids Nicklas Selander, Sara Sebelius, Cesar Estay, Kálmán J. Szabó European Journal of Organic Chemistry Volume 2006, Issue 18 , Pages 4085 - 4087 doi:10.1002/ejoc.200600530
- ↑ The active catalyst system in this reaction is a combination of a palladium pincer compound and p-toluenesulfonic acid, the reaction product is obtained as a single regioisomer and stereoisomer



