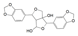
Gummadiol
![]() | |
| Names | |
|---|---|
| IUPAC name
(1R,3R,3aS,6S,6aR)-3,6-Bis(1,3-benzodioxol-5-yl)dihydro-1H,3H-furo[3,4-c]furan-1,3a(4H)-diol | |
| Other names
1,4-Dihydroxysesamin | |
| Identifiers | |
| 3D model (Jmol) | Interactive image |
| ChemSpider | 10308017 |
| |
| Properties | |
| C20H18O8 | |
| Molar mass | 386.35 g/mol |
| Except where otherwise noted, data are given for materials in their standard state (at 25 °C [77 °F], 100 kPa). | |
| Infobox references | |
Gummadiol is a lignan hemiacetal.[1] It can be isolated from the heartwood of Gmelina arborea.[2]
References
- ↑ The structure of gummadiol - A lignan hemi-acetal. A.S.R. Anjaneyulu, A.Madhusudhana Rao, V.Kameswara Rao, L.Ramachandra Row, Andrew Pelter and Robert S. Ward, Tetrahedron Letters, 1975, Volume 16, Issues 22–23, Pages 1803–1806, doi:10.1016/S0040-4039(00)75261-0
- ↑ Novel hydroxy lignans from the heartwood of gmelina arborea. A.S.R. Anjaneyulu, A.Madhusudhana rao, V.Kameswara Rao and L.Ramachandra Row, Tetrahedron, 1977, Volume 33, Issue 1, Pages 133–143, doi:10.1016/0040-4020(77)80444-4
This article is issued from Wikipedia - version of the 7/7/2015. The text is available under the Creative Commons Attribution/Share Alike but additional terms may apply for the media files.
