Lysine
![]() | |||
| |||
| Names | |||
|---|---|---|---|
| IUPAC name
Lysine | |||
| Other names
2,6-Diaminohexanoic acid; 2,6-Diammoniohexanoic acid | |||
| Identifiers | |||
| 70-54-2 DL 56-87-1 L 923-27-3 D | |||
| 3D model (Jmol) | Interactive image | ||
| ChEBI | CHEBI:25094 | ||
| ChEMBL | ChEMBL28328 | ||
| ChemSpider | 843 5747 L | ||
| ECHA InfoCard | 100.000.673 | ||
| 724 | |||
| KEGG | C16440 | ||
| PubChem | 866 | ||
| UNII | K3Z4F929H6 | ||
| |||
| |||
| Properties | |||
| C6H14N2O2 | |||
| Molar mass | 146.19 g·mol−1 | ||
| 1.5kg/L @ 25 °C | |||
| Pharmacology | |||
| B05XB03 (WHO) | |||
| Supplementary data page | |||
| Refractive index (n), Dielectric constant (εr), etc. | |||
| Thermodynamic data |
Phase behaviour solid–liquid–gas | ||
| UV, IR, NMR, MS | |||
| Except where otherwise noted, data are given for materials in their standard state (at 25 °C [77 °F], 100 kPa). | |||
| | |||
| Infobox references | |||
Lysine (abbreviated as Lys or K),[1] encoded by the codons AAA and AAG, is an α-amino acid that is used in the biosynthesis of proteins. It contains an α-amino group (which is in the protonated −NH3+ form under biological conditions), an α-carboxylic acid group (which is in the deprotonated −COO− form under biological conditions), and a side chain lysyl ((CH2)4NH2), classifying it as a charged (at physiological pH), aliphatic amino acid. It is essential in humans, meaning the body cannot synthesize it and thus it must be obtained from the diet.
Lysine is a base, as are arginine and histidine. The ε-amino group often participates in hydrogen bonding and as a general base in catalysis. The ε-amino group (NH3+) is attached to the fifth carbon from the α-carbon, which is attached to the carboxyl (C=OOH) group.[2]
Common posttranslational modifications include methylation of the ε-amino group, giving methyl-, dimethyl-, and trimethyllysine (the latter occurring in calmodulin); also acetylation, sumoylation, ubiquitination, and hydroxylation - producing the hydroxylysine in collagen and other proteins. O-Glycosylation of hydroxylysine residues in the endoplasmic reticulum or Golgi apparatus is used to mark certain proteins for secretion from the cell. In opsins like rhodopsin and the visual opsins (encoded by the genes OPN1SW, OPN1MW, and OPN1LW), retinaldehyde forms a Schiff base with a conserved lysine residue, and interaction of light with the retinylidene group causes signal transduction in color vision (See visual cycle for details). Deficiencies may cause blindness, as well as many other problems due to its ubiquitous presence in proteins.
Biosynthesis
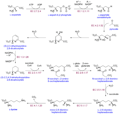
As an essential amino acid, lysine is not synthesized in animals, hence it must be ingested as lysine or lysine-containing proteins. In plants and most bacteria, it is synthesized from aspartic acid (aspartate):[3]
- L-aspartate is first converted to L-aspartyl-4-phosphate by aspartokinase (or Aspartate kinase). ATP is needed as an energy source for this step.
- β-Aspartate semialdehyde dehydrogenase converts this into β-aspartyl-4-semialdehyde (or β-aspartate-4-semialdehyde). Energy from NADPH is used in this conversion.
- 4-hydroxy-tetrahydrodipicolinate synthase adds a pyruvate group to the β-aspartyl-4-semialdehyde, and a water molecule is removed. This causes cyclization and gives rise to (2S,4S)-4-hydroxy-2,3,4,5-tetrahydrodipicolinate.
- This product is reduced to 2,3,4,5-tetrahydrodipicolinate (or Δ1-piperidine-2,6-dicarboxylate, in the figure: (S)-2,3,4,5-tetrahydropyridine-2,6-dicarboxylate) by 4-hydroxy-tetrahydrodipicolinate reductase. This reaction consumes an NADPH molecule and releases a second water molecule.
- Tetrahydrodipicolinate N-acetyltransferase opens this ring and gives rise to N-succinyl-L-2-amino-6-oxoheptanedionate (or N-acyl-2-amino-6-oxopimelate). Two water molecules and one acyl-CoA (succinyl-CoA) enzyme are used in this reaction.
- N-succinyl-L-2-amino-6-oxoheptanedionate is converted into N-succinyl-LL-2,6-diaminoheptanedionate (N-acyl-2,6-diaminopimelate). This reaction is catalyzed by the enzyme succinyl diaminopimelate aminotransferase. A glutamic acid molecule is used in this reaction and an oxoacid is produced as a byproduct.
- N-succinyl-LL-2,6-diaminoheptanedionate (N-acyl-2,6-diaminopimelate)is converted into LL-2,6-diaminoheptanedionate (L,L-2,6-diaminopimelate) by succinyl diaminopimelate desuccinylase (acyldiaminopimelate deacylase). A water molecule is consumed in this reaction and a succinate is produced a byproduct.
- LL-2,6-diaminoheptanedionate is converted by diaminopimelate epimerase into meso-2,6-diamino-heptanedionate (meso-2,6-diaminopimelate).
- Finally, meso-2,6-diamino-heptanedionate is converted into L-lysine by diaminopimelate decarboxylase.

Enzymes involved in this biosynthesis include:[3]
- Aspartokinase
- Aspartate-semialdehyde dehydrogenase
- 4-hydroxy-tetrahydrodipicolinate synthase
- 4-hydroxy-tetrahydrodipicolinate reductase
- 2,3,4,5-tetrahydropyridine-2,6-dicarboxylate N-succinyltransferase
- Succinyldiaminopimelate transaminase
- Succinyl-diaminopimelate desuccinylase
- Diaminopimelate epimerase
- Diaminopimelate decarboxylase.
It is worth noting, however, that in fungi, euglenoids and some prokaryotes lysine is synthesized via the alpha-aminoadipate pathway.
Metabolism
Lysine is metabolised in mammals to give acetyl-CoA, via an initial transamination with α-ketoglutarate. The bacterial degradation of lysine yields cadaverine by decarboxylation.
Allysine is a derivative of lysine, used in the production of elastin and collagen. It is produced by the actions of the enzyme lysyl oxidase on lysine in the extracellular matrix and is essential in the crosslink formation that stabilizes collagen and elastin.
Synthesis
Synthetic, racemic lysine has long been known.[4] A practical synthesis starts from caprolactam.[5] Industrially, L-lysine is usually manufactured by a fermentation process using Corynebacterium glutamicum; production exceeds 600,000 tons a year.[6]
L-lysine HCl is used as a dietary supplement, providing 80.03% L-lysine.[7] As such, 1 g of L-lysine is contained in 1.25 g of L-lysine HCl.
Dietary sources
The nutritional requirement per day, in milligrams of lysine per kilogram of body weight, is: infants (3–4 months) 103 mg/kg, children (2 years) 64 mg/kg, older children (10–12 years) 44 to 60 mg/kg, adults 12 mg/kg.[8] For a 70 kg adult, 12 milligrams of lysine per kilogram of body weight is 0.84 grams of lysine. Recommendations for adults have been revised upwards to 30 mg/kg.[9]
Good sources of lysine are high-protein foods such as eggs, meat (specifically red meat, lamb, pork, and poultry), soy, beans and peas, cheese (particularly Parmesan), and certain fish (such as cod and sardines).[10]
Lysine is the limiting amino acid (the essential amino acid found in the smallest quantity in the particular foodstuff) in most cereal grains, but is plentiful in most pulses (legumes).[11] Consequently, meals that combine cereal grains and legumes, such as the Indian dal with rice, Middle Eastern hummus, ful medames, falafel with pita bread, the Mexican beans with rice or tortilla have arisen to provide complete protein in diets that are, by choice or by necessity, vegetarian. A food is considered to have sufficient lysine if it has at least 51 mg of lysine per gram of protein (so that the protein is 5.1% lysine).[12]
Foods containing significant proportions of lysine include:
| Food | Lysine (% of protein) | Notes |
|---|---|---|
| Catfish, channel, farmed, raw | 9.19%[13] | Bluefish, burbot, mahi-mahi, grouper, lingcod, mackerel, pike, salmon, scup, trout, tuna, and yellowtail also have lysine content of nearly 9.2%[14] |
| Beef, ground, 90% lean/10% fat, cooked | 8.31%[15] | |
| Chicken, roasting, meat and skin, cooked, roasted | 8.11%[16] | |
| Lentil, sprouts, raw | 7.95%[17] | Sprouting increases the lysine content. |
| Parmesan cheese, grated | 7.75%[18] | |
| Azuki bean (adzuki beans), mature seeds, raw | 7.53%[19] | |
| Milk, non-fat | 7.48%[20] | |
| Soybean, mature seeds, raw | 7.42%[21] | |
| Pumpkin Seed, dried | 7.4%[22] | |
| Egg, whole, raw | 7.27%[23] | |
| Pea, split, mature seeds, raw | 7.22%[24] | |
| Winged bean (aka Goa Bean or Asparagus Pea), mature seeds, raw | 7.20%[25] | |
| Lentil, pink, raw | 6.97%[26] | |
| Kidney bean, mature seeds, raw | 6.87%[27] | |
| Chickpea, (garbanzo beans, Bengal gram), mature seeds, raw | 6.69%[28] | |
| Soybean, mature seeds, sprouts | 5.74%[29] | Sprouting decreases the lysine content. |
| Navy bean, mature seeds, raw | 5.73%[30] | |
| Amaranth, grain, uncooked | 5.17%[31] | |
| Quinoa | 5%[32] |
Properties
L-Lysine plays a major role in calcium absorption; building muscle protein; recovering from surgery or sports injuries; and the body's production of hormones, enzymes, and antibodies.
Modifications
Lysine can be modified through acetylation (acetyllysine), methylation (methyllysine), ubiquitination, sumoylation, neddylation, biotinylation, pupylation, and carboxylation, which tends to modify the function of the protein of which the modified lysine residue(s) are a part.[33]
Clinical significance
A systematic Cochrane Review (investigating all clinical trials, in vitro studies and mechanism of action) published in 2015 showed there is no evidence that lysine supplementation is effective against herpes simplex virus and it has not been approved by the FDA for herpes simplex suppression.[34][35][36]
Some studies have shown that lysine supplementation can decrease cold sore outbreaks and reduce healing time. Diets high in Arginine feed the herpes simplex virus and increase replication rate, while diets high in Lysine can decrease replication rate[37]
Lysine has anxiolytic action through its effects on serotonin receptors in the intestinal tract, and is also hypothesized to reduce anxiety through serotonin regulation in the amygdala.[38] One study on rats[39] showed that overstimulation of the 5-HT4 receptors in the gut are associated with anxiety-induced intestinal pathology. Lysine, acting as a serotonin antagonist and therefore reducing the overactivity of these receptors, reduced signs of anxiety and anxiety-induced diarrhea in the sample population. Another study showed that lysine deficiency leads to a pathological increase in serotonin in the amygdala, a brain structure that is involved in emotional regulation and the stress response.[38] Human studies have also shown correlations between reduced lysine intake and anxiety. A population-based study in Syria included 93 families whose diet is primarily grain-based and therefore likely to be deficient in lysine. Fortification of grains with lysine was shown to reduce markers of anxiety, including cortisol levels; Smiriga and colleagues hypothesized that anxiety reduction from lysine occurs through mechanism of serotonin alterations in the central amygdala; older primary research reports hypothesized lysine to reduce anxiety through the potentiation of benzodiazepine receptors (common targets of anxiolytic drugs such as Xanax and Ativan).[40]
There are lysine conjugates that show promise in the treatment of cancer, by causing cancerous cells to destroy themselves when the drug is combined with the use of phototherapy, while leaving non-cancerous cells unharmed.[41]
Lysine deficiency causes immunodeficiency in chickens.[42] One cause of relative lysine deficiency is cystinuria, where there is impaired hepatic resorption of basic, or positively charged amino acids, including lysine. The accompanying urinary cysteine results because the same deficient amino acid transporter is normally present in the kidney as well.
Limited studies suggest that a high-lysine diet or L-lysine monochloride supplements may have a moderating effect on blood pressure and the incidence of stroke.[43]
Lysine is attached to the amine of amphetamine to produce lisdexamfetamine, marketed as Vyvanse.
Use of lysine in animal feed
Lysine production for animal feed is a major global industry, reaching in 2009 almost 700,000 tonnes for a market value of over €1.22 billion.[44] Lysine is an important additive to animal feed because it is a limiting amino acid when optimizing the growth of certain animals such as pigs and chickens for the production of meat. Lysine supplementation allows for the use of lower-cost plant protein (maize, for instance, rather than soy) while maintaining high growth rates, and limiting the pollution from nitrogen excretion.[45] In turn, however, phosphate pollution is a major environmental cost when corn is used as feed for poultry and swine.[46]
Lysine is industrially produced by microbial fermentation, from a base mainly of sugar. Genetic engineering research is actively pursuing bacterial strains to improve the efficiency of production and allow lysine to be made from other substrates.[44]
In popular culture
The 1993 film Jurassic Park (based on the 1990 Michael Crichton novel of the same name) features dinosaurs that were genetically altered so that they could not produce lysine.[47] This was known as the "lysine contingency" and was supposed to prevent the cloned dinosaurs from surviving outside the park, forcing them to be dependent on lysine supplements provided by the park's veterinary staff. In reality, no animals are capable of producing lysine (it is an essential amino acid).[48]
In 1996, lysine became the focus of a price-fixing case, the largest in United States history. The Archer Daniels Midland Company paid a fine of US$100 million, and three of its executives were convicted and served prison time. Also found guilty in the price-fixing case were two Japanese firms (Ajinomoto, Kyowa Hakko) and a South Korean firm (Sewon).[49] Secret video recordings of the conspirators fixing lysine's price can be found online or by requesting the video from the U.S. Department of Justice, Antitrust Division. This case served as the basis of the movie The Informant!, and a book of the same title.[50]
See also
References
- ↑ IUPAC-IUBMB Joint Commission on Biochemical Nomenclature. "Nomenclature and Symbolism for Amino Acids and Peptides". Recommendations on Organic & Biochemical Nomenclature, Symbols & Terminology etc. Retrieved 2007-05-17.
- ↑ Lysine. The Biology Project, Department of Biochemistry and Molecular Biophysics, University of Arizona.
- 1 2 "MetaCyc: L-lysine biosynthesis I".
- ↑ Braun, J. V. (1909). "Synthese des inaktiven Lysins aus Piperidin". Berichte der deutschen chemischen Gesellschaft. 42: 839–846. doi:10.1002/cber.190904201134.
- ↑ Eck, J. C.; Marvel, C. S. (1943). "dl-Lysine Hydrochlorides" (PDF). Organic Syntheses, Collected. 2: 374.
- ↑ Pfefferle, W.; Möckel, B.; Bathe, B.; Marx, A. (2003). "Biotechnological manufacture of lysine". Advances in Biochemical Engineering/Biotechnology. Advances in Biochemical Engineering/Biotechnology. 79: 59–112. doi:10.1007/3-540-45989-8_3. ISBN 978-3-540-43383-5. PMID 12523389.
- ↑ "Dietary Supplement Database: Blend Information (DSBI)".
L-LYSINE HCL 10000820 80.03% lysine
- ↑ United Nations Food & Agriculture Organization : Agriculture and Consumer Protection. "Energy and protein requirements: 5.6 Requirements for essential amino acids". Retrieved 2010-10-10.
- ↑ FAO/WHO/UNU (2007). "PROTEIN AND AMINO ACID REQUIREMENTS IN HUMAN NUTRITION" (PDF). WHO Press., page 150-152
- ↑ University of Maryland Medical Center. "Lysine". Retrieved 2009-12-30.
- ↑ Young VR, Pellett PL (1994). "Plant proteins in relation to human protein and amino acid nutrition" (PDF). American Journal of Clinical Nutrition. 59 (5 Suppl): 1203S–1212S. PMID 8172124.
- ↑ Institute of Medicine of the National Academies. "Dietary Reference Intakes for Macronutrients". Retrieved 2010-10-10.
- ↑ Helena Kloosterman; USDA National Nutrient Database for Standard Reference. "Essential Amino Acids Search, catfish farmed". Retrieved 2010-10-10.
- ↑ http://ndb.nal.usda.gov/ndb/nutrients/report/nutrientsfrm?max=25&offset=0&totCount=0&nutrient1=505&nutrient2=203&nutrient3=&subset=1&fg=&sort=c&measureby=g
- ↑ Helena Kloosterman; USDA National Nutrient Database for Standard Reference. "Essential Amino Acids Search, beef ground 90 10 cooked". Retrieved 2010-10-10.
- ↑ Helena Kloosterman; USDA National Nutrient Database for Standard Reference. "Essential Amino Acids Search, chicken roasting meat skin". Retrieved 2010-10-10.
- ↑ Helena Kloosterman; USDA National Nutrient Database for Standard Reference. "Essential Amino Acids Search, lentils sprouted". Retrieved 2010-10-10.
- ↑ Helena Kloosterman; USDA National Nutrient Database for Standard Reference. "Essential Amino Acids Search, parmesan cheese". Retrieved 2010-10-10.
- ↑ Helena Kloosterman; USDA National Nutrient Database for Standard Reference. "Essential Amino Acids Search, adzuki bean". Retrieved 2010-10-10.
- ↑ Helena Kloosterman; USDA National Nutrient Database for Standard Reference. "Essential Amino Acids Search, milk nonfat". Retrieved 2010-10-10.
- ↑ Helena Kloosterman; USDA National Nutrient Database for Standard Reference. "Essential Amino Acids Search, soybean seeds". Retrieved 2010-10-10.
- ↑ title=Nutrition Data url=http://nutritiondata.self.com/facts/nut-and-seed-products/3066/2
- ↑ Helena Kloosterman; USDA National Nutrient Database for Standard Reference. "Essential Amino Acids Search, egg whole". Retrieved 2010-10-10.
- ↑ Helena Kloosterman; USDA National Nutrient Database for Standard Reference. "Essential Amino Acids Search, pea split". Retrieved 2010-10-10.
- ↑ Helena Kloosterman; USDA National Nutrient Database for Standard Reference. "Essential Amino Acids Search, winged bean seeds". Retrieved 2010-10-10.
- ↑ Helena Kloosterman; USDA National Nutrient Database for Standard Reference. "Essential Amino Acids Search, lentils". Retrieved 2010-10-10.
- ↑ Helena Kloosterman; USDA National Nutrient Database for Standard Reference. "Essential Amino Acids Search, kidney bean". Retrieved 2010-10-10.
- ↑ Helena Kloosterman; USDA National Nutrient Database for Standard Reference. "Essential Amino Acids Search, chickpea". Retrieved 2010-10-10.
- ↑ Helena Kloosterman; USDA National Nutrient Database for Standard Reference. "Essential Amino Acids Search, soybeans sprouted". Retrieved 2010-10-10.
- ↑ Helena Kloosterman; USDA National Nutrient Database for Standard Reference. "Essential Amino Acids Search, navy bean". Retrieved 2010-10-10.
- ↑ Helena Kloosterman; USDA National Nutrient Database for Standard Reference. "Essential Amino Acids Search, amaranth". Retrieved 2010-10-10.
- ↑ Oelke, E.A.; Putnam, D.H.; Teynor, T.M.; Oplinger, E.S. "Quinoa". Alternative Field Crops Manual. University of Wisconsin Cooperative Extension. Retrieved 11 September 2012.
- ↑ Sadoul K, Boyault C, Pabion M, Khochbin S (February 2008). "Regulation of protein turnover by acetyltransferases and deacetylases". Biochimie. 90 (2): 306–12. doi:10.1016/j.biochi.2007.06.009. PMID 17681659.
- ↑ Ching-Chi Chi1, Shu-Hui Wang, Finola M Delamere, Fenella Wojnarowska, Mathilde C Peters, Preetha P Kanjirath (2015). "Interventions for prevention of herpes simplex labialis (cold sores on the lips)". Cochrane Database of Systematic Reviews (8). doi:10.1002/14651858.CD010095.pub2. CD010095.
- ↑ Drugs.com. "Herpes Simplex, Suppression Medications". Retrieved 2014-05-19.
- ↑ Sebastiaan Bol1 and Evelien M. Bunnik (November 2015). "Lysine supplementation is not effective for the prevention or treatment of feline herpesvirus 1 infection in cats: a systematic review". BMC Veterinary Research. 11 (1): 284. doi:10.1186/s12917-015-0594-3. PMC 4647294
. PMID 26573523. - ↑ "Subjective response to lysine in the therapy of herpes simplex". Journal of Antimicrobial Chemotherapy. 12.
- 1 2 Smriga, Kameishi, Uneyama, and Torii (December 2002). "Dietary L-Lysine Deficiency Increases Stress-Induced Anxiety and Fecal Excretion in Rats". The Journal of Nutrition. 132 (12): 3744–6. PMID 12468617.
- ↑ Smriga and Torii; Torii, K (2003). "l-Lysine acts like a partial serotonin receptor 4 antagonist and inhibits serotonin-mediated intestinal pathologies and anxiety in rats". PNAS. 100 (26): 15370–5. doi:10.1073/pnas.2436556100. PMC 307574
. PMID 14676321. - ↑ Smriga, Ghosh, Mouneimne, Pellett, and Scrimshaw (May 2004). "Lysine fortification reduces anxiety and lessens stress in family members in economically weak communities in Northwest Syria". Proceedings of the National Academy of Sciences. 101 (22): 8285–8288. doi:10.1073/pnas.0402550101.
- ↑ ScienceDaily. "Chemists Kill Cancer Cells With Light-activated Molecules". Retrieved 2008-01-24.
- ↑ Chen C, Sander JE, Dale NM (2003). "The effect of dietary lysine deficiency on the immune response to Newcastle disease vaccination in chickens". Avian Dis. 47 (4): 1346–51. doi:10.1637/7008. PMID 14708981.
- ↑ Flodin 1997
- 1 2 "Norwegian granted for improving lysine production process"
- ↑ Toride Y. "Lysine and other amino acids for feed: production and contribution to protein utilization in animal feeding". Retrieved 2011-01-25.
- ↑ Abelson, Philip (March 1999). "A Potential Phosphate Crisis". Science. 283 (5410): 2015. doi:10.1126/science.283.5410.2015. PMID 10206902.
- ↑ Coyne, Jerry A. (October 10, 1999). "The Truth Is Way Out There". The New York Times. Retrieved 2008-04-06.
- ↑ Wu, G (2009). "Amino acids: Metabolism, functions, and nutrition". Amino Acids. 37 (1): 1–17. doi:10.1007/s00726-009-0269-0. PMID 19301095.
- ↑ Connor, J.M.; "Global Price Fixing" 2nd Ed. Springer-Verlag: Heidelberg, 2008. ISBN 978-3-540-78669-6.
- ↑ Eichenwald, Kurt.; "The Informant: a true story" Broadway Books: New York, 2000. ISBN 0-7679-0326-9.
Sources
- Much of the information in this article has been translated from German Wikipedia.
- Lide, D. R., ed. (2002). CRC Handbook of Chemistry and Physics (83rd ed.). Boca Raton, FL: CRC Press. ISBN 0-8493-0483-0.



