Methionine
![]() Canonical form of methionine | |
![]() Zwitterionic form of L-methionine | |
| Names | |
|---|---|
| IUPAC name
Methionine | |
| Other names
2-amino-4-(methylthio)butanoic acid | |
| Identifiers | |
| 59-51-8 63-68-3 (L-isomer) 348-67-4 (D-isomer) | |
| 3D model (Jmol) | Interactive image Interactive image |
| Abbreviations | Met, M |
| ChEBI | CHEBI:16811 |
| ChEMBL | ChEMBL42336 |
| ChemSpider | 853 5907 (L-isomer) |
| ECHA InfoCard | 100.000.393 |
| EC Number | 200-432-1 |
| KEGG | D04983 |
| PubChem | 876 |
| UNII | 73JWT2K6T3 |
| |
| |
| Properties[1] | |
| C5H11NO2S | |
| Molar mass | 149.21 g·mol−1 |
| Appearance | White crystalline powder |
| Density | 1.340 g/cm3 |
| Melting point | 281 °C (538 °F; 554 K) decomposes |
| Soluble | |
| Acidity (pKa) | 2.28 (carboxyl), 9.21 (amino)[2] |
| Pharmacology | |
| V03AB26 (WHO) QA05BA90 (WHO), QG04BA90 (WHO) | |
| Supplementary data page | |
| Refractive index (n), Dielectric constant (εr), etc. | |
| Thermodynamic data |
Phase behaviour solid–liquid–gas |
| UV, IR, NMR, MS | |
| Except where otherwise noted, data are given for materials in their standard state (at 25 °C [77 °F], 100 kPa). | |
| | |
| Infobox references | |
Methionine is an essential amino acid in humans. Methionine is important in angiogenesis, the growth of new blood vessels, and supplementation may benefit those suffering from Parkinson's, drug withdrawal, schizophrenia, radiation, copper poisoning, asthma, allergies, alcoholism, or depression.[3] Overconsumption of methionine, as is typical in the standard American diet, but not vegan diet,[4] is related to cancer growth in a number of studies.[5][6][7]
Methionine: bio-medical details
Methionine (abbreviated as Met or M; encoded by the codon AUG) is an α-amino acid that is used in the biosynthesis of proteins. It contains an α-amino group (which is in the protonated −NH3+ form under biological conditions), an α-carboxylic acid group (which is in the deprotonated −COO− form under biological conditions), and an S-methyl thioether side chain, classifying it as a non-polar, aliphatic amino acid.
Methionine is coded for by the initiation codon, meaning it indicates the start of the coding region and is the first amino acid produced in a nascent polypeptide during mRNA translation.[8]
Methionine: a proteinogenic amino acid
Together with cysteine, methionine is one of two sulfur-containing proteinogenic amino acids. Excluding the few exceptions where methionine may act as a redox sensor (e.g. [9]), methionine residues do not have a catalytic role.[10] This is in contrast to cysteine residues, where the thiol group has a catalytic role in many proteins.[10] The thioether does however have a minor structural role due to the stability effect of S/π interactions between the side chain sulfur atom and aromatic amino acids in one-third of all known protein structures.[10] This lack of a strong role is reflected in experiments where little effect is seen in proteins where methionine is replaced by norleucine, a straight hydrocarbon sidechain amino acid which lacks the thioether.[11] It has been conjectured that norleucine was present in early versions of the genetic code, but methionine intruded into the final version of the genetic code due to the fact it is used in the cofactor S-adenosyl methionine (SAM).[12] This situation is not unique and may have occurred with ornithine and arginine.[13]
Encoding
Methionine is one of only two amino acids encoded by a single codon (AUG) in the standard genetic code (tryptophan, encoded by UGG, is the other). In reflection to the evolutionary origin of its codon, the other AUN codons encode isoleucine, which is also a hydrophobic amino acid. In the mitochondrial genome of several organisms, including metazoa and yeast, the codon AUA also encodes for methionine. In the standard genetic code AUA codes for isoleucine and the respective tRNA (ileX in Escherichia coli) uses the unusual base lysidine (bacteria) or agmatine (archaea) to discriminate against AUG.[14][15]
The methionine codon AUG is also the most common start codon. A "Start" codon is message for a ribosome that signals the initiation of protein translation from mRNA when the AUG codon is in a Kozak consensus sequence. As a consequence, methionine is often incorporated into the N-terminal position of proteins in eukaryotes and archaea during translation, although it can be removed by post-translational modification. In bacteria, the derivative N-formylmethionine is used as the initial amino acid.
Methionine derivatives
S-adenosyl-methionine

The methionine-derivative S-adenosyl methionine (SAM) is a cofactor that serves mainly as a methyl donor. SAM is composed of an adenosyl molecule (via 5' carbon) attached to the sulfur of methionine, therefore making it a sulfonium cation (i.e. three substituents and positive charge). The sulfur acts as soft Lewis acid (i.e. donor/electrophile) allows the S-methyl group to be transferred to an oxygen, nitrogen or aromatic system, often with the aid of other cofactors such as cobalamin (vitamin B12 in humans). Some enzymes use SAM to initiate a radical reaction, these are called radical SAM enzymes. As a result of the transfer of the methyl group, S-adenosyl-homocysteine is obtained. In bacteria, this is either regenerated by methylation or is salvaged by removing the adenine and the homocysteine leaving the compound dihydroxypentandione to spontaneously convert into autoinducer-2, which is excreted as a waste product / quorum signal.
Biosynthesis

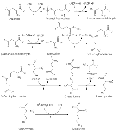
As an essential amino acid, methionine is not synthesized de novo in humans and other animals, who must ingest methionine or methionine-containing proteins. In plants and microorganisms, methionine biosynthesis belongs to the aspartate family, along with threonine and lysine (via diaminopimelate, but not via α-aminoadipate). The main backbone is derived from aspartic acid, while the sulfur may come from cysteine, methanethiol or hydrogen sulfide.[10]
- First, aspartic acid is converted via β-aspartyl-semialdehyde into homoserine by two reduction steps of the terminal carboxyl group (homoserine has therefore a γ-hydroxyl, hence the homo- series). The intermediate aspartate-semialdehyde is the branching point with the lysine biosynthetic pathway, where it is instead condensed with pyruvate. Homoserine is the branching point with the threonine pathway, where instead it is isomerised after activating the termainal hydroxyl with phosphate (also used for methionine biosynthesis in plants).[10]
- Homoserine is then activated with an phosphate, succinyl or acetyl group on the hydroxyl.
- In plants and possibly in some bacteria (viz.[10]) phosphate is used. This step is shared with threonine biosynthesis.[10]
- In most organisms, an acetyl group is used to activate the homoserine. This can be catalysed in bacteria by an enzyme encoded by metX or metA (not homologues).[10]
- In enterobacteria and a limited amount of other organisms, succinate is used. The enzyme that catalyses the reaction is MetA and the specificity for acetyl-CoA and succinyl-CoA is dictated by a single reside.[10] The physiological basis for the preference of acetyl-CoA or succinyl-CoA is unknown, but such alternative routes are present in some other pathways (e.g. lysine biosynthesis and arginine biosynthesis).
- The hydroxyl activating group is then replaced with cysteine, methanethiol or hydrogen sulfide. A replacement reaction is technically a γ-elimination followed by a variant of a Michael addition. All the enzymes involved are homologues and members of the Cys/Met metabolism PLP-dependent enzyme family, which is a subset of the PLP-dependant fold type I clade. They utilise the cofactor PLP (pyridoxal phosphate), which functions by stabilising carbanion intermediates.[10]
- If it reacts with cysteine, it produces cystathionine, which is cleaved to yield homocysteine. The enzymes involved are cystathionine-γ-synthase (encoded by metB in bacteria) and cystathionine-β-lyase (metC). Cystathionine is bound differently in the two enzymes allowing β or γ reactions to occur.[10]
- If it reacts with free hydrogen sulfide, it produces homocysteine. This is catalysed by O-acetylhomoserine aminocarboxypropyltransferase (formerly known as O-acetylhomoserine (thiol)-lyase. It is encoded by either metY or metZ in bacteria.[10]
- If it reacts with methanethiol, it produces methionine directly. Methanethiol is a byproduct of catabolic pathway of certain compounds, therefore this route is more uncommon.[10]
- If homocysteine is produced the thiol group is methylated, yielding methionine. Two methionine synthases are known, one cobalamin (vitamin B12) dependent and one independent.[10]
The pathway utilising cysteine is called the "transsulfuration pathway", while the pathway utilising hydrogen sulfide (or methanethiol) is called "direct-sulfurylation pathway".
Cysteine is similarly produced, namely it can be made from an activated serine and either from homocysteine ("reverse trans-sulfurylation route") or from hydrogen sulfide ("direct sulfurylation route"); the activated serine is generally O-acetyl-serine (via CysK or CysM in E. coli), but in Aeropyrum pernix and some other archaea O-phosphoserine is used.[16] CysK and CysM are homologues, but belong to the PLP fold type III clade.
Trans-sulfurylation pathway
Enzymes involved in the E. coli trans-sulfurylation route of methionine biosynthesis:
- Aspartokinase
- Aspartate-semialdehyde dehydrogenase
- Homoserine dehydrogenase
- Homoserine O-transsuccinylase
- Cystathionine-γ-synthase
- Cystathionine-β-lyase
- Methionine synthase (in mammals, this step is performed by homocysteine methyltransferase or betaine—homocysteine S-methyltransferase.)
Other biochemical pathways

Although mammals cannot synthesize methionine, they can still use it in a variety of biochemical pathways:
Methionine catabolism
Methionine is converted to S-adenosylmethionine (SAM) by (1) methionine adenosyltransferase.
SAM serves as a methyl-donor in many (2) methyltransferase reactions, and is converted to S-adenosylhomocysteine (SAH).
(3) Adenosylhomocysteinase converts SAH to homocysteine.
There are two fates of homocysteine: it can be used to regenerate methionine, or to form cysteine.
Regeneration of methionine
Methionine can be regenerated from homocysteine via (4) methionine synthase in a reaction that requires Vitamin B12 as a cofactor.
Homocysteine can also be remethylated using glycine betaine (NNN-trimethyl glycine, TMG) to methionine via the enzyme betaine-homocysteine methyltransferase (E.C.2.1.1.5, BHMT). BHMT makes up to 1.5% of all the soluble protein of the liver, and recent evidence suggests that it may have a greater influence on methionine and homocysteine homeostasis than methionine synthase.
Reverse-transulfurylation pathway: conversion to cysteine
Homocysteine can be converted to cysteine.
- (5) Cystathionine-β-synthase (a PLP-dependent enzyme) combines homocysteine and serine to produce cystathionine. Instead of degrading cystathionine via cystathionine-β-lyase, as in the biosynthetic pathway, cystathionine is broken down to cysteine and α-ketobutyrate via (6) cystathionine-γ-lyase.
- (7) The enzyme α-ketoacid dehydrogenase converts α-ketobutyrate to propionyl-CoA, which is metabolized to succinyl-CoA in a three-step process (see propionyl-CoA for pathway).
Ethylene synthesis
This amino acid is also used by plants for synthesis of ethylene. The process is known as the Yang Cycle or the methionine cycle.

Chemical synthesis
Racemic methionine can be synthesized from diethyl sodium phthalimidomalonate by alkylation with chloroethylmethylsulfide (ClCH2CH2SCH3) followed by hydrolysis and decarboxylation.[17]
Human nutrition
Dietary sources
| Food | g/100g |
|---|---|
| Egg, white, dried, powder, glucose reduced | 3.204 |
| Sesame seeds flour (low fat) | 1.656 |
| Egg, whole, dried | 1.477 |
| Cheese, Parmesan, shredded | 1.114 |
| Brazil nuts | 1.008 |
| Soy protein concentrate | 0.814 |
| Chicken, broilers or fryers, roasted | 0.801 |
| Fish, tuna, light, canned in water, drained solids | 0.755 |
| Beef, cured, dried | 0.749 |
| Bacon | 0.593 |
| Beef, ground, 95% lean meat / 5% fat, raw | 0.565 |
| Pork, ground, 96% lean / 4% fat, raw | 0.564 |
| Wheat germ | 0.456 |
| Oat | 0.312 |
| Peanuts | 0.309 |
| Chickpea | 0.253 |
| Corn, yellow | 0.197 |
| Almonds | 0.151 |
| Beans, pinto, cooked | 0.117 |
| Lentils, cooked | 0.077 |
| Rice, brown, medium-grain, cooked | 0.052 |
High levels of methionine can be found in eggs, sesame seeds, Brazil nuts, fish, meats and some other plant seeds; methionine is also found in cereal grains. Most fruits and vegetables contain very little of it. Most legumes are also low in methionine. However, it is the combination of methionine and cystine which is considered for completeness of a protein.[19] Racemic methionine is sometimes added as an ingredient to pet foods.[20]
Methionine restriction
There is scientific evidence that restricting methionine consumption can increase lifespans in some animals.[21]
A 2005 study showed methionine restriction without energy restriction extends mouse lifespan.[22]
A study published in Nature showed adding just the essential amino acid methionine to the diet of fruit flies under dietary restriction, including restriction of essential amino acids (EAAs), restored fertility without reducing the longer lifespans that are typical of dietary restriction, leading the researchers to determine that methionine “acts in combination with one or more other EAAs to shorten lifespan.”[23][24]
Several studies showed that methionine restriction also inhibits aging-related disease processes in mice[25][26] and inhibits colon carcinogenesis in rats.[27] In humans, methionine restriction through dietary modification could be achieved through a vegan diet. Veganism being a completely plant based diet is typically very low in methionine, however certain nuts and legumes may provide higher levels.[28]
A 2009 study on rats showed "methionine supplementation in the diet specifically increases mitochondrial ROS production and mitochondrial DNA oxidative damage in rat liver mitochondria offering a plausible mechanism for its hepatotoxicity".[29]
However, since methionine is an essential amino acid, it cannot be entirely removed from animals' diets without disease or death occurring over time. For example, rats fed a diet without methionine developed steatohepatitis (fatty liver), anemia and lost two thirds of their body weight over 5 weeks. Administration of methionine ameliorated the pathological consequences of methionine deprivation.[30]
Methionine might also be essential to reversing damaging methylation of glucocorticoid receptors caused by repeated stress exposures, with implications for depression.[31]
Health
Loss of methionine has been linked to senile greying of hair. Its lack leads to a buildup of hydrogen peroxide in hair follicles, a reduction in tyrosinase effectiveness, and a gradual loss of hair color.[32]
Methionine is an intermediate in the biosynthesis of cysteine, carnitine, taurine, lecithin, phosphatidylcholine, and other phospholipids. Improper conversion of methionine can lead to atherosclerosis.[33]
Other Uses
DL-Methionine is sometimes given as a supplement to dogs; It helps to reduce the chances of stones in dogs. Methionine is also known to increase the urinary excretion of quinidine by acidifying the urine. Aminoglycoside antibiotics used to treat urinary tract infections work best in alkaline conditions, and urinary acidification from using methionine can reduce its effectiveness. If a dog is on a diet that acidifies the urine, methionine should not be used.[34]
Methionine is allowed as a supplement to organic poultry feed under the US certified organic program.[35]
See also
- Allantoin
- Formylmethionine
- Methionine oxidation
- Paracetamol poisoning – A Methionine-Paracetamol preparation that might prevent hepatotoxicity.
- Photo-reactive methionine
References
- ↑ Weast, Robert C., ed. (1981). CRC Handbook of Chemistry and Physics (62nd ed.). Boca Raton, FL: CRC Press. p. C-374. ISBN 0-8493-0462-8..
- ↑ Dawson, R.M.C.; et al. (1959). Data for Biochemical Research. Oxford: Clarendon Press.
- ↑ http://www.webmd.com/vitamins-supplements/ingredientmono-42-methionine.aspx?activeingredientid=42&
- ↑ M. F. McCarty, J. Barroso-Aranda, F. Contreras. The low-methionine content of vegan diets may make methionine restriction feasible as a life extension strategy. Med. Hypotheses 2009 72(2):125 - 128.
- ↑ P. Cavuoto, M. F. Fenech. A review of methionine dependency and the role of methionine restriction in cancer growth control and life-span extension. Cancer Treat. Rev. 2012 38(6):726 - 736.
- ↑ H. Y. Guo, H. Herrera, A. Groce, R. M. Hoffman. Expression of the biochemical defect of methionine dependence in fresh patient tumors in primary histoculture. Cancer Res. 1993 53(11):2479 - 2483.
- ↑ E. Cellarier, X. Durando, M. P. Vasson, M. C. Farges, A. Demiden, J. C. Maurizis, J. C. Madelmont, P. Chollet. Methionine dependency and cancer treatment. Cancer Treat. Rev. 2003 29(6):489 - 499.
- ↑ Guedes, R. L.; Prosdocimi, F; Fernandes, G. R.; Moura, L. K.; Ribeiro, H. A.; Ortega, J. M. (2011). "Amino acids biosynthesis and nitrogen assimilation pathways: A great genomic deletion during eukaryotes evolution". BMC Genomics. 12 Suppl 4: S2. doi:10.1186/1471-2164-12-S4-S2. PMC 3287585
. PMID 22369087. - ↑ Bigelow, D. J.; Squier, T. C. (2005). "Redox modulation of cellular signaling and metabolism through reversible oxidation of methionine sensors in calcium regulatory proteins". Biochimica et Biophysica Acta (BBA) - Proteins and Proteomics. 1703 (2): 121–34. doi:10.1016/j.bbapap.2004.09.012. PMID 15680220.
- 1 2 3 4 5 6 7 8 9 10 11 12 13 14 Ferla, M. P.; Patrick, W. M. (2014). "Bacterial methionine biosynthesis". Microbiology. 160 (Pt 8): 1571–84. doi:10.1099/mic.0.077826-0. PMID 24939187.
- ↑ Cirino, P. C.; Tang, Y; Takahashi, K; Tirrell, D. A.; Arnold, F. H. (2003). "Global incorporation of norleucine in place of methionine in cytochrome P450 BM-3 heme domain increases peroxygenase activity". Biotechnology and Bioengineering. 83 (6): 729–34. doi:10.1002/bit.10718. PMID 12889037.
- ↑ Alvarez-Carreño, C; Becerra, A; Lazcano, A (2013). "Norvaline and norleucine may have been more abundant protein components during early stages of cell evolution". Origins of Life and Evolution of Biospheres. 43 (4–5): 363–75. doi:10.1007/s11084-013-9344-3. PMID 24013929.
- ↑ Jukes, T. H. (1973). "Arginine as an evolutionary intruder into protein synthesis". Biochemical and Biophysical Research Communications. 53 (3): 709–14. doi:10.1016/0006-291x(73)90151-4. PMID 4731949.
- ↑ Ikeuchi, Y; Kimura, S; Numata, T; Nakamura, D; Yokogawa, T; Ogata, T; Wada, T; Suzuki, T; Suzuki, T (2010). "Agmatine-conjugated cytidine in a tRNA anticodon is essential for AUA decoding in archaea". Nature Chemical Biology. 6 (4): 277–82. doi:10.1038/nchembio.323. PMID 20139989.
- ↑ Muramatsu, T; Nishikawa, K; Nemoto, F; Kuchino, Y; Nishimura, S; Miyazawa, T; Yokoyama, S (1988). "Codon and amino-acid specificities of a transfer RNA are both converted by a single post-transcriptional modification". Nature. 336 (6195): 179–81. doi:10.1038/336179a0. PMID 3054566.
- ↑ Mino, K; Ishikawa, K (2003). "A novel O-phospho-L-serine sulfhydrylation reaction catalyzed by O-acetylserine sulfhydrylase from Aeropyrum pernix K1". FEBS Letters. 551 (1–3): 133–8. doi:10.1016/S0014-5793(03)00913-X. PMID 12965218.
- ↑ Barger, G.; Weichselbaum, T. E. (1934). "dl-Methionine". Org. Synth. 14: 58.; Coll. Vol., 2, p. 384
- ↑ "National Nutrient Database for Standard Reference". U.S. Department of Agriculture. Retrieved 2009-09-07.
- ↑ Finkelstein JD (1990). "Methionine metabolism in mammals". J. Nutr. Biochem. 1 (5): 228–237. PMID 15539209.
- ↑ Liz Palika. New York: Howell Book House. 1996. ISBN 0-87605-467-X.
- ↑ Alleyne, Richard (2009-12-03). "Vegetarian low protein diet could be key to long life". The Daily Telegraph. London. Retrieved 2010-05-12.
- ↑ Miller, Richard A.; Buehner, Gretchen; Chang, Yayi; Harper, James M.; Sigler, Robert; Smith-Wheelock, Michael (2005). "Methionine-deficient diet extends mouse lifespan, slows immune and lens aging, alters glucose, T4, IGF-I and insulin levels, and increases hepatocyte MIF levels and stress resistance". Aging Cell. 4 (3): 119–125. doi:10.1111/j.1474-9726.2005.00152.x. PMID 15924568..
- ↑ Grandison, R. C.; Piper, M. D. W.; Partridge, L. (2009). "Amino acid imbalance explains extension of lifespan by dietary restriction in Drosophila". Nature. 462 (7276): 1061–1064. Bibcode:2009Natur.462.1061G. doi:10.1038/nature08619. PMC 2798000
. PMID 19956092. Lay summary. - ↑ "Amino acid recipe could be right for long life". Science News. December 2, 2009.
- ↑ Richie Jr., JP; Leutzinger, Y; Parthasarathy, S; Malloy, V; Orentreich, N; Zimmerman, JA (1994). "Methionine restriction increases blood glutathione and longevity in F344 rats". FASEB Journal. 8 (15): 1302–7. PMID 8001743.
- ↑ Sun, L.; Sadighi Akha, A. A.; Miller, R. A.; Harper, J. M. (2009). "Life-Span Extension in Mice by Preweaning Food Restriction and by Methionine Restriction in Middle Age". The Journals of Gerontology Series A: Biological Sciences and Medical Sciences. 64A (7): 711–722. doi:10.1093/gerona/glp051.
- ↑ Komninou, Despina; Leutzinger, Yvonne; Reddy, Bandaru S.; Richie Jr., John P. (2006). "Methionine Restriction Inhibits Colon Carcinogenesis". Nutrition and Cancer. 54 (2): 202–8. doi:10.1207/s15327914nc5402_6. PMID 16898864.
- ↑ Cavuoto, P.; Fenech, M. F. (2012). "A review of methionine dependency and the role of methionine restriction in cancer growth control and life-span extension". Cancer Treatment Reviews. 38 (6): 726–36. doi:10.1016/j.ctrv.2012.01.004. PMID 22342103.
- ↑ Gomez, J; Caro, P; Sanchez, I; Naudi, A; Jove, M; Portero-Otin, M; Lopez-Torres, M; Pamplona, R; Barja, G (2009). "Effect of methionine dietary supplementation on mitochondrial oxygen radical generation and oxidative DNA damage in rat liver and heart". Journal of bioenergetics and biomembranes. 41 (3): 309–21. doi:10.1007/s10863-009-9229-3. PMID 19633937.
- ↑ Oz HS; Chen TS; Neuman M (2008). "Methionine deficiency and hepatic injury in a dietary steatohepatitis model". Digestive Diseases and Sciences. 53 (3): 767–776. doi:10.1007/s10620-007-9900-7. PMC 2271115
. PMID 17710550. - ↑ Weaver, I. C.; Champagne, F. A.; Brown, S. E.; Dymov, S; Sharma, S; Meaney, M. J.; Szyf, M (November 2005). "Reversal of maternal programming of stress responses in adult offspring through methyl supplementation: altering epigenetic marking later in life". The Journal of neuroscience : the official journal of the Society for Neuroscience. 25 (47): 11045–54. doi:10.1523/JNEUROSCI.3652-05.2005. PMID 16306417.
- ↑ Wood, J.M.; et al. (July 2009). "Senile hair graying: H2O2-mediated oxidative stress affects human hair color by blunting methionine sulfoxide repair". FASEB Journal. 23 (7): 2065–75. doi:10.1096/fj.08-125435. PMID 19237503.
- ↑ Refsum H; Ueland PM; Nygård O; Vollset SE (1998). "Homocysteine and Cardiovascular Disease". Annual Review of Medicine. 49 (1): 31–62. doi:10.1146/annurev.med.49.1.31. PMID 9509248.
- ↑ Grimshaw, Jane (July 25, 2011) Methionine for Dogs uses and Side Effects. critters360.com
- ↑ "Rules and Regulations". Federal Register. 76 (49): 13501–13504. March 14, 2011.
External links
- Rudra, M. N.; Chowdhury, L. M. (30 September 1950). "Methionine Content of Cereals and Legumes". Nature. 166 (568): 568. Bibcode:1950Natur.166..568R. doi:10.1038/166568a0.

.svg.png)
