Transsulfuration pathway

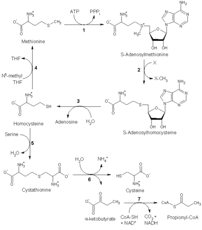
The transsulfuration pathway is a metabolic pathway involving the interconversion of cysteine and homocysteine, through the intermediate cystathionine. This is in contrast to the direct sulfurylation pathways for the synthesis of cysteine or homocysteine via the replacement of the acetyl/succinyl group with free sulfide (via the cysK or cysM -encoded cysteine synthase[1] and the metZ or metY -encoded homocysteine synthase,[2] respectively).
Two transsulfurylation pathway are known, the forward pathway and the reverse. The forward pathway is present is several bacteria for example in Escherichia coli[3] and Bacillus subtilis[4] and involves the transfer of the thiol group from cysteine to homocysteine (methionine precursor with the S-methyl group), thanks to the γ-replacement of the acetyl or succinyl group of a homoserine with cysteine via its thiol group to form cystathionine (catalysed by cystathionine γ-synthase, which is encoded by metB in E. coli and metI in B. subtilis). Cystathionine is then cleaved by means of the β-elimination of the homocysteine portion of the molecule leaving behind an unstable imino acid, which is attacked by water to form pyruvate and ammonia (catalysed by the metC-encoded cystathionine β-lyase[5]). The production of homocysteine through transsulfuration allows the conversion of this intermediate to methionine, through a methylation reaction carried out by methionine synthase.
The reverse pathway is present in several organisms, including humans, and involves the transfer of the thiol group from homocysteine to cysteine via a similar mechanism. In Klebsiella pneumoniae the cystathionine β-synthase is encoded by mtcB, while the γ-lyase is encoded by mtcC.[6] Humans are auxotrophic for methionine, hence it is called an "essential amino acid" by nutritionists, but are not for cysteine due to the reverse trans-sulfurylation pathway. Mutations in this pathway lead to a disease known as homocystinuria.
PLP
All four transsulfuration enzymes are PLP enzymes and all bar Cystathionine γ-synthase are members of the Cys/Met metabolism PLP-dependent enzyme family (type I PLP enzymes).
There are five different structurally related types of PLP enzymes in this family. Members of this family belong to the type I and are:[7]
- in the transsulfurylation route for methionine biosynthesis:
- Cystathionine γ-synthase (metB) which joins an activated homoserine ether (acetyl or succinyl) with cysteine to form cystathionine
- Cystathionine β-lyase (metC) which splits cystathionine into homocysteine and a deaminated alanine (pyruvate and ammonia)
- in the direct sulfurylation pathway for methionine biosynthesis:
- O-acetyl homoserine sulfhydrylase (metY) which adds a thiol group to an activated homoserine ether
- O-succinylhomoserine sulfhydrylase (metZ) which adds a thiol group to an activated homoserine ether
- in the reverse transsulfurylation pathway for cysteine biosynthesis:
- Cystathionine γ-lyase (no common gene name) which joins an activated serine ether (acetyl or succinyl) with homocysteine to form cystathionine
- Not Cystathionine β-synthase which is a PLP enzyme type II
- cysteine biosynthesis from serine:
- O-acetyl serine sulfhydrylase (cysK or cysM) which adds a thiol group to an activated serine ether
- methionine degradation:
- Methionine gamma-lyase (mdeA) which breaks down methionine at the thioether and amine bounds
Note: MetC, metB, metZ are closely related and have fuzzy boundaries so fall under the same NCBI orthologue cluster (COG0626).
References
- ↑ Rabeh, W. M.; Cook, P. F. (2004). "Structure and Mechanism of O-Acetylserine Sulfhydrylase". Journal of Biological Chemistry. 279 (26): 26803–26806. doi:10.1074/jbc.R400001200. PMID 15073190.
- ↑ Hwang, B. J.; Yeom, H. J.; Kim, Y.; Lee, H. S. (2002). "Corynebacterium glutamicum utilizes both transsulfuration and direct sulfhydrylation pathways for methionine biosynthesis". Journal of Bacteriology. 184 (5): 1277–1286. doi:10.1128/JB.184.5.1277-1286.2002. PMC 134843
. PMID 11844756. - ↑ Aitken, S. M.; Lodha, P. H.; Morneau, D. J. K. (2011). "The enzymes of the transsulfuration pathways: Active-site characterizations". Biochimica et Biophysica Acta (BBA) - Proteins and Proteomics. 1814 (11): 1511–7. doi:10.1016/j.bbapap.2011.03.006. PMID 21435402.
- ↑ Auger, S.; Yuen, W. H.; Danchin, A.; Martin-Verstraete, I. (2002). "The metIC operon involved in methionine biosynthesis in Bacillus subtilis is controlled by transcription antitermination". Microbiology (Reading, England). 148 (Pt 2): 507–518. PMID 11832514.
- ↑ Clausen, T.; Huber, R.; Laber, B.; Pohlenz, H. D.; Messerschmidt, A. (1996). "Crystal Structure of the Pyridoxal-5′-phosphate Dependent Cystathionine β-lyase fromEscherichia coliat 1.83 Å". Journal of Molecular Biology. 262 (2): 202–224. doi:10.1006/jmbi.1996.0508. PMID 8831789.
- ↑ Seiflein, T. A.; Lawrence, J. G. (2006). "Two Transsulfurylation Pathways in Klebsiella pneumoniae". Journal of Bacteriology. 188 (16): 5762–5774. doi:10.1128/JB.00347-06. PMC 1540059
. PMID 16885444. - ↑ Aitken, S. M.; Lodha, P. H.; Morneau, D. J. K. (2011). "The enzymes of the transsulfuration pathways: Active-site characterizations". Biochimica et Biophysica Acta (BBA) - Proteins and Proteomics. 1814 (11): 1511–7. doi:10.1016/j.bbapap.2011.03.006. PMID 21435402.