Ubiquitin

Not to be confused with Ubiquinol.
Ubiquitin family

A diagram of ubiquitin. The seven lysine sidechains are shown in yellow/orange.
Identifiers
Symbol ubiquitin
Pfam PF00240
InterPro IPR000626
PROSITE PDOC00271
SCOP 1aar
SUPERFAMILY 1aar

Ubiquitin is a small (8.5 kDa) regulatory protein that has been found in almost all tissues (ubiquitously) of eukaryotic organisms. It was discovered in 1975[1] in Israel by Gideon Goldstein and further characterized throughout the 1970s and 1980s.[2] There are four genes in the human genome that produce ubiquitin: UBB, UBC, UBA52 and RPS27A.[3]

The addition of ubiquitin to a substrate protein is called ubiquitination or ubiquitylation. Ubiquitination can affect proteins in many ways: it can signal for their degradation via the proteasome, alter their cellular location, affect their activity, and promote or prevent protein interactions.[4][5][6] Ubiquitination is carried out in three main steps: activation, conjugation, and ligation, performed by ubiquitin-activating enzymes (E1s), ubiquitin-conjugating enzymes (E2s), and ubiquitin ligases (E3s), respectively. The result of this sequential cascade binds ubiquitin to lysine residues on the protein substrate via an isopeptide bond, cysteine residues through a thioester bond, serine and threonine residues through an ester bond, or the amino group of the protein's N-terminus via a peptide bond.[7][8][9]

The protein modifications can be either a single ubiquitin protein (monoubiquitination) or a chain of ubiquitin (polyubiquitination). The ubiquitination bonds are always formed with one of the seven lysine residues as well as the very N-terminal methionine from the ubiquitin molecule. These 'linking' residues are represented by a "K" or "M" (which is the one-letter amino acid notation of lysine and methionine, respectively) and a number, referring to its position in the ubiquitin molecule. First, a ubiquitin molecule is bonded by its C-terminus to a specific lysine residue on the target protein. Poly-ubiquitination occurs when the C-terminus of another ubiquitin, will be linked to one of the seven lysine residues or the first methionine on the previously added ubiquitin molecule itself (for example on K48, K29 or M1), forming a chain. This process repeats several times, leading to the addition of several ubiquitins. Only poly-ubiquitination on defined lysines, mostly on K48 and K29, is related to degradation by the proteasome (referred to as the "molecular kiss of death"), while other polyubiquitinations (e.g. on K63, K11, K6 and M1) and monoubiquitinations may regulate processes such as endocytic trafficking, inflammation, translation and DNA repair.[10]

The discovery that ubiquitin chains target proteins to the proteasome, which degrades and recycles proteins, was honored with the Nobel Prize in chemistry in 2004.[8][11][12]

Identification

Surface representation of Ubiquitin.

Ubiquitin (originally, ubiquitous immunopoietic polypeptide) was first identified in 1975[1] as an 8.5 kDa protein of unknown function expressed in all eukaryotic cells. The basic functions of ubiquitin and the components of the ubiquitination pathway were elucidated in the early 1980s at the Technion by Aaron Ciechanover, Avram Hershko, and Irwin Rose for which the Nobel Prize in Chemistry was awarded in 2004.[11]

The ubiquitination system was initially characterised as an ATP-dependent proteolytic system present in cellular extracts. A heat-stable polypeptide present in these extracts, ATP-dependent proteolysis factor 1 (APF-1), was found to become covalently attached to the model protein substrate lysozyme in an ATP- and Mg2+-dependent process.[13] Multiple APF-1 molecules were linked to a single substrate molecule by an isopeptide linkage, and conjugates were found to be rapidly degraded with the release of free APF-1. Soon after APF-1-protein conjugation was characterised, APF-1 was identified as ubiquitin. The carboxyl group of the C-terminal glycine residue of ubiquitin (Gly76) was identified as the moiety conjugated to substrate lysine residues.

The protein

Ubiquitin properties (human)
Number of residues 76
Molecular mass 8564.8448 Da
Isoelectric point (pI) 6.79
Gene names RPS27A (UBA80, UBCEP1), UBA52 (UBCEP2), UBB, UBC
Sequence in amino acid abbreviations MQIFVKTLTGKTITLEVEPSDTIENVKAKIQDKEGIPPD

QQRLIFAGKQLEDGRTLSDYNIQKESTLHLVLRLRGG

Ubiquitin is a small protein that exists in all eukaryotic cells. It performs its myriad functions through conjugation to a large range of target proteins. A variety of different modifications can occur. The ubiquitin protein itself consists of 76 amino acids and has a molecular mass of about 8.5 kDa. Key features include its C-terminal tail and the 7 lysine residues. It is highly conserved among eukaryotic species: Human and yeast ubiquitin share 96% sequence identity.

Genes

Ubiquitin is encoded in mammals by 4 different genes. UBA52 and RPS27A genes code for a single copy of ubiquitin fused to the ribosomal proteins L40 and S27a, respectively. The UBB and UBC genes code for polyubiquitin precursor proteins.[3]

Origins

No ubiquitin and ubiquitination machinery are known to exist in prokaryotes. However, ubiquitin is believed to have descended from prokaryotic proteins similar to ThiS[14] or MoaD.[15] These prokaryotic proteins, despite having little sequence identity (ThiS has 14% identity to ubiquitin), share the same protein fold. These proteins also share sulfur chemistry with ubiquitin. MoaD, which is involved in molybdenum cofactor biosynthesis, interacts with MoeB, which acts like an E1 ubiquitin-activating enzyme for MoaD, strengthening the link between these prokaryotic proteins and the ubiquitin system. A similar system exists for ThiS, with its E1-like enzyme ThiF. It is also believed that the Saccharomyces cerevisiae protein Urm-1, a ubiquitin-related modifier, is a "molecular fossil" that connects the evolutionary relation with the prokaryotic ubiquitin-like molecules and ubiquitin.[16]

Ubiquitination

The ubiquitination system (showing a RING E3 ligase).

Ubiquitination (or ubiquitylation) is an enzymatic post-translational modification in which a ubiquitin protein is attached to a substrate protein. This process most commonly binds the last amino acid of ubiquitin (glycine 76) to a lysine residue on the substrate. An isopeptide bond is formed between the carboxylic acid group of the ubiquitin's glycine and the epsilon amino group of the substrate's lysine.[17] Trypsin cleavage of a ubiquitin-conjugated substrate leaves a di-glycine "remnant" that is used to identify the site of ubiquitination.[18][19] Ubiquitin can also be bound to other sites in a protein which are electron-rich nucleophiles, termed "non-canonical ubiquitination".[9] This was first observed with the amine group of a protein's N-terminus being used for ubiquitination, rather than a lysine residue, in the protein MyoD[20] and has been observed since in 22 other proteins in multiple species,[21][22][23][24][25][26][27][28][29][30][31][32][33][34][35][36][37][22][38][39] including ubiquitin itself.[40][41] There is also increasing evidence for nonlysine residues as ubiquitination targets using non-amine groups, such as the thiol group on cysteine,[36][37][42][43][44][45][46][47][48][49] and the hydroxyl group on threonine and serine.[36][37][42][48][49][50][51][52][53] The end result of this process is the addition of one ubiquitin molecule (monoubiquitination) or a chain of ubiquitin molecules (polyubiquitination) to the substrate protein.[54]

Ubiquitination requires three types of enzyme: ubiquitin-activating enzymes, ubiquitin-conjugating enzymes, and ubiquitin ligases, known as E1s, E2s, and E3s, respectively. The process consists of three main steps:

  1. Activation: Ubiquitin is activated in a two-step reaction by an E1 ubiquitin-activating enzyme, which is dependent on ATP. The initial step involves production of a ubiquitin-adenylate intermediate. The E1 binds both ATP and ubiquitin and catalyses the acyl-adenylation of the C-terminus of the ubiquitin molecule. The second step transfers ubiquitin to an active site cysteine residue, with release of AMP. This step results in a thioester linkage between the C-terminal carboxyl group of ubiquitin and the E1 cysteine sulfhydryl group.[17][55] The human genome contains two genes that produce enzymes capable of activating ubiquitin: UBA1 and UBA6.[56]
  2. Conjugation: E2 ubiquitin-conjugating enzymes catalyse the transfer of ubiquitin from E1 to the active site cysteine of the E2 via a trans(thio)esterification reaction. In order to perform this reaction, the E2 binds to both activated ubiquitin and the E1 enzyme. Humans possess 35 different E2 enzymes, whereas other eukaryotic organisms have between 16 and 35. They are characterised by their highly conserved structure, known as the ubiquitin-conjugating catalytic (UBC) fold.[57]
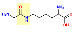
    Glycine and lysine linked by an isopeptide bond. The isopeptide bond is highlighted yellow.
  3. Ligation: E3 ubiquitin ligases catalyse the final step of the ubiquitination cascade. Most commonly, they create an isopeptide bond between a lysine of the target protein and the C-terminal glycine of ubiquitin. In general, this step requires the activity of one of the hundreds of E3s. E3 enzymes function as the substrate recognition modules of the system and are capable of interaction with both E2 and substrate. Some E3 enzymes also activate the E2 enzymes. E3 enzymes possess one of two domains: the homologous to the E6-AP carboxyl terminus (HECT) domain and the really interesting new gene (RING) domain (or the closely related U-box domain). HECT domain E3s transiently bind ubiquitin in this process (an obligate thioester intermediate is formed with the active-site cysteine of the E3), whereas RING domain E3s catalyse the direct transfer from the E2 enzyme to the substrate.[58] The anaphase-promoting complex (APC) and the SCF complex (for Skp1-Cullin-F-box protein complex) are two examples of multi-subunit E3s involved in recognition and ubiquitination of specific target proteins for degradation by the proteasome.[59]

In the ubiquitination cascade, E1 can bind with many E2s, which can bind with hundreds of E3s in a hierarchical way. Having levels within the cascade allows tight regulation of the ubiquitination machinery.[7] Other ubiquitin-like proteins (UBLs) are also modified via the E1–E2–E3 cascade, although variations in these systems do exist.[60]

E4 enzymes, or ubiquitin-chain elongation factors, are capable of adding pre-formed polyubiquitin chains to substrate proteins.[61] For example, multiple monoubiquitylation of the tumor suppressor p53 by Mdm2[62] can be followed by addition of a polyubiquitin chain using p300 and CBP.[63][64]

Variety of ubiquitin modifications

Ubiquitination affects cellular process by regulating the degradation of proteins (via the proteasome and lysosome), coordinating the cellular localization of proteins, activating and inactivating proteins, and modulating protein-protein interactions.[4][5][6] These effects are mediated by different types of substrate ubiquitination, for example the addition of a single ubiquitin molecule (monoubiquitination) or different types of ubiquitin chains (polyubiquitination).[65]

Monoubiquitination

Monoubiquitination is the addition of one ubiquitin molecule to one substrate protein residue. Multi-monoubiquitination is the addition of one ubiquitin molecule to multiple substrate residues. The monoubiquitination of a protein can have different effects to the polyubiquitination of the same protein. The addition of a single ubiquitin molecule is thought to be required prior to the formation of polyubiquitin chains.[65] Monoubiquitination affects cellular processes such as membrane trafficking, endocytosis and viral budding.[10][66]

Polyubiquitin chains

Diagram of lysine 48-linked diubiquitin. The linkage between the two ubiquitin chains is shown in orange.
Diagram of lysine 63-linked diubiquitin. The linkage between the two ubiquitin chains is shown in orange.

Polyubiquitination is the formation of a ubiquitin chain on a single lysine residue on the substrate protein. Following addition of a single ubiquitin moiety to a protein substrate, further ubiquitin molecules can be added to the first, yielding a polyubiquitin chain.[65] These chains are made by linking the glycine residue of a ubiquitin molecule to a lysine of ubiquitin bound to a substrate. Ubiquitin has seven lysine residues and an N-terminus that serves as points of ubiquitination; they are K6, K11, K27, K29, K33, K48, K63 and M1, respectively.[8] Lysine 48-linked chains were the first identified and are the best-characterised type of ubiquitin chain. K63 chains have also been well-characterised, whereas the function of other lysine chains, mixed chains, branched chains, M1-linked linear chains, and heterologous chains (mixtures of ubiquitin and other ubiquitin-like proteins) remains more unclear.[19][41][65][66][67]

Lysine 48-linked polyubiquitin chains target proteins for destruction, by a process known as proteolysis. At least four ubiquitin molecules must be attached to a lysine residue on the condemned protein in order for it to be recognised by the 26S proteasome.[68] This is a barrel-shape structure comprising a central proteolytic core made of four ring structures, flanked by two cylinders that selectively allow entry of ubiquitinated proteins. Once inside, the proteins are rapidly degraded into small peptides (usually 3–25 amino acid residues in length). Ubiquitin molecules are cleaved off the protein immediately prior to destruction and are recycled for further use.[69] Although the majority of protein substrates are ubiquitinated, there are examples of non-ubiquitinated proteins targeted to the proteasome.[70] The polyubiquitin chains are recognised by a subunit of the proteasome: S5a/Rpn10. This is achieved by a ubiquitin interacting motif (UIM) found in a hydrophobic patch in the C-terminal region of the S5a/Rpn10 unit.[4]

Lysine 63-linked chains are not associated with proteasomal degradation of the substrate protein. Instead, they allow the coordination of other processes such as endocytic trafficking, inflammation, translation, and DNA repair.[10] In cells, lysine 63-linked chains are bound by the ESCRT-0 complex, which prevents their binding to the proteasome. This complex contains two proteins, Hrs and STAM1, that contain a UIM, which allows it to bind to lysine 63-linked chains.[71][72]

Less is understood about atypical (non-lysine 48-linked) ubiquitin chains but research is starting to suggest roles for these chains.[66] There is evidence to suggest that atypical chains linked by lysine 6, 11, 27, 29 and methionine 1 can induce proteasomal degradation.[70][73]

Branched ubiquitin chains containing multiple linkage types can be formed.[74] The function of these chains is unknown.[8]

Structure of chains

Differently linked chains have specific effects on the protein to which they are attached, caused by differences in the conformations of the protein chains. K29-, K33-,[75] K63- and M1-linked chains have a fairly linear conformation; they are known as open-conformation chains. K6-, K11-, and K48-linked chains form closed conformations. The ubiquitin molecules in open-conformation chains do not interact with each other, except for the covalent isopeptide bonds linking them together. In contrast, the closed conformation chains have interfaces with interacting residues. Altering the chain conformations exposes and conceals different parts of the ubiquitin protein, and the different linkages are recognized by proteins that are specific for the unique topologies that are intrinsic to the linkage. Proteins can specifically bind to ubiquitin via ubiquitin-binding domains (UBDs). The distances between individual ubiquitin units in chains differ between lysine 63- and 48-linked chains. The UBDs exploit this by having small spacers between ubiquitin-interacting motifs that bind lysine 48-linked chains (compact ubiquitin chains) and larger spacers for lysine 63-linked chains. The machinery involved in recognising polyubiquitin chains can also differentiate between K63-linked chains and M1-linked chains, demonstrated by the fact that the latter can induce proteasomal degradation of the substrate.[8][10][73]

Functions of ubiquitin modification

The ubiquitination system functions in a wide variety of cellular processes, including:[76]

Membrane proteins

Multi-monoubiquitination can mark transmembrane proteins (for example, receptors) for removal from membranes (internalisation) and fulfil several signalling roles within the cell. When cell-surface transmembrane molecules are tagged with ubiquitin, the subcellular localization of the protein is altered, often targeting the protein for destruction in lysosomes. This serves as a negative feedback mechanism because often the stimulation of receptors by ligands increases their rate of ubiquitination and internalisation. Like monoubiquitination, lysine 63-linked polyubiquitin chains also has a role in the trafficking some membrane proteins.[10][65][68]

Genomic maintenance

Proliferating cell nuclear antigen (PCNA) is a protein involved in DNA synthesis. Under normal physiological conditions PCNA is sumoylated (a similar post-translational modification to ubiquitination). When DNA is damaged by ultra-violet radiation or chemicals, the SUMO molecule that is attached to a lysine residue is replaced by ubiquitin. Monoubiquitinated PCNA recruits polymerases that can carry out DNA synthesis with damaged DNA; but this is very error-prone, possibly resulting in the synthesis of mutated DNA. Lysine 63-linked polyubiquitination of PCNA allows it to perform a less error-prone mutation bypass known by the template switching pathway.[6][77][78]

Ubiquitination of histone H2AX is involved in DNA damage recognition of DNA double-strand breaks. Lysine 63-linked polyubiquitin chains are formed on H2AX histone by the E2/E3 ligase pair, Ubc13-Mms2/RNF168.[79][80] This K63 chain appears to recruit RAP80, which contains a UIM, and RAP80 then helps localize BRCA1. This pathway will eventually recruit the necessary proteins for homologous recombination repair.[81]

Transcriptional regulation

Histones can be ubiquitinated and this is usually in the form of monoubiquitination (although polyubiquitinated forms do occur). Histone ubiquitination alters chromatin structure and allows the access of enzymes involved in transcription. Ubiquitin on histones also acts as a binding site for proteins that either activate or inhibit transcription and also can induce further post-translational modifications of the protein. These effects can all modulate the transcription of genes.[82][83]

Deubiquitination

Deubiquitinating enzymes (DUBs) oppose the role of ubiquination by removing ubiquitin from substrate proteins. They are cysteine proteases that cleave the amide bond between the two proteins. They are highly specific, as are the E3 ligases that attach the ubiquitin, with only a few substrates per enzyme. They can cleave both isopeptide (between ubiquitin and lysine) and peptide bonds (between ubiquitin and the N-terminus). In addition to removing ubiquitin from substrate proteins, DUBs have many other roles within the cell. Ubiquitin is either expressed as multiple copies joined in a chain (polyubiquitin) or attached to ribosomal subunits. DUBs cleave these proteins to produce active ubiquitin. They also recycle ubiquitin that has been bound to small nucleophilic molecules during the ubiquitination process. Monoubiquitin is formed by DUBs that cleave ubiquitin from free polyubiquitin chains that have been previously removed from proteins.[84][85]

Ubiquitin-binding domains

Table of characterized Ubiquitin-binding domains[86]
Domain Number of Proteins

in Proteome

Length

(amino acids)

Ubiquitin Binding

Affinity

CUE S. cerevisiae 7

H. sapiens 21

42–43 ~2–160 μM
GATII S. cerevisiae 2

H. sapiens 14

135 ~180 μM
GLUE S. cerevisiae ?

H. sapiens ?

~135 ~460 μM
NZF S. cerevisiae 1

H. sapiens 25

~35 ~100–400 μM
PAZ S. cerevisiae 5

H. sapiens 16

~58 Not known
UBA S. cerevisiae 10

H. sapiens 98

45–55 ~0.03-500 μM
UEV S. cerevisiae 2

H. sapiens ?

~145 ~100–500 μM
UIM S. cerevisiae 8

H. sapiens 71

~20 ~100–400 μM
VHS S. cerevisiae 4

H. sapiens 28

150 Not known

Ubiquitin-binding domains (UBDs) are modular protein domains that non-covalently bind to ubiquitin, these motifs control various cellular events. Detailed molecular structures are known for a number of UBDs, binding specificity determines their mechanism of action and regulation, and how it regulates cellular proteins and processes.[86][87]

Disease associations

Pathogenesis

The ubiquitin pathway has been implicated in the pathogenesis of several diseases and genetic disorders:

Diagnostic use

Immunohistochemistry using antibodies to ubiquitin can identify abnormal accumulations of this protein inside cells, indicating a disease process. These protein accumulations are referred to as inclusion bodies (which is a general term for any microscopically visible collection of abnormal material in a cell). Examples include:

Ubiquitin-like modifiers

Although ubiquitin is the most-understood post-translation modifier, there is a growing family of ubiquitin-like proteins (UBLs) that modify cellular targets in a pathway that is parallel to, but distinct from, that of ubiquitin. Known UBLs include: small ubiquitin-like modifier (SUMO), ubiquitin cross-reactive protein (UCRP, also known as interferon-stimulated gene-15 ISG15), ubiquitin-related modifier-1 (URM1), neuronal-precursor-cell-expressed developmentally downregulated protein-8 (NEDD8, also called Rub1 in S. cerevisiae), human leukocyte antigen F-associated (FAT10), autophagy-8 (ATG8) and -12 (ATG12), Few ubiquitin-like protein (FUB1), MUB (membrane-anchored UBL),[91] ubiquitin fold-modifier-1 (UFM1) and ubiquitin-like protein-5 (UBL5, which is but known as homologous to ubiquitin-1 [Hub1] in S. pombe).[92][93] Whilst these proteins share only modest primary sequence identity with ubiquitin, they are closely related three-dimensionally. For example, SUMO shares only 18% sequence identity, but they contain the same structural fold. This fold is called "ubiquitin fold" or sometimes called ubiquitin fold. FAT10 and UCRP contain two. This compact globular beta-grasp fold is found in ubiquitin, UBLs, and proteins that comprise a ubiquitin-like domain, e.g. the S. cerevisiae spindle pole body duplication protein, Dsk2, and NER protein, Rad23, both contain N-terminal ubiquitin domains.

These related molecules have novel functions and influence diverse biological processes. There is also cross-regulation between the various conjugation pathways, since some proteins can become modified by more than one UBL, and sometimes even at the same lysine residue. For instance, SUMO modification often acts antagonistically to that of ubiquitination and serves to stabilize protein substrates. Proteins conjugated to UBLs are typically not targeted for degradation by the proteasome but rather function in diverse regulatory activities. Attachment of UBLs might, alter substrate conformation, affect the affinity for ligands or other interacting molecules, alter substrate localization, and influence protein stability.

UBLs are structurally similar to ubiquitin and are processed, activated, conjugated, and released from conjugates by enzymatic steps that are similar to the corresponding mechanisms for ubiquitin. UBLs are also translated with C-terminal extensions that are processed to expose the invariant C-terminal LRGG. These modifiers have their own specific E1 (activating), E2 (conjugating) and E3 (ligating) enzymes that conjugate the UBLs to intracellular targets. These conjugates can be reversed by UBL-specific isopeptidases that have similar mechanisms to that of the deubiquitinating enzymes.[76]

Within some species, the recognition and destruction of sperm mitochondria through a mechanism involving ubiquitin is responsible for sperm mitochondria's disposal after fertilization occurs.[94]

Prokaryotic ubiquitin-like protein (Pup)

Recently, a functional analog of ubiquitin has been found in prokaryotes. Prokaryotic ubiquitin-like protein (Pup) serves the same function (targeting proteins for degradations), although the enzymology of ubiquitination and pupylation is different. In contrast to the three-step reaction of ubiquitination, pupylation requires two steps, therefore only two enzymes are involved in pupylation.

Human proteins containing ubiquitin domain

ANUBL1; BAG1; BAT3/BAG6; C1orf131; DDI1; DDI2; FAU; HERPUD1; HERPUD2; HOPS; IKBKB; ISG15; LOC391257; MIDN; NEDD8; OASL; PARK2; RAD23A; RAD23B; RPS27A; SACS; 8U SF3A1; SUMO1; SUMO2; SUMO3; SUMO4; TMUB1; TMUB2; UBA52; UBB; UBC; UBD; UBFD1; UBL4; UBL4A; UBL4B; UBL7; UBLCP1; UBQLN1; UBQLN2; UBQLN3; UBQLN4; UBQLNL; UBTD1; UBTD2; UHRF1; UHRF2;

Prediction of ubiquitination

Currently available prediction programs are:

See also

References

  1. 1 2 Goldstein G, Scheid M, Hammerling U, Schlesinger DH, Niall HD, Boyse EA (Jan 1975). "Isolation of a polypeptide that has lymphocyte-differentiating properties and is probably represented universally in living cells". Proceedings of the National Academy of Sciences of the United States of America. 72 (1): 11–5. doi:10.1073/pnas.72.1.11. PMC 432229Freely accessible. PMID 1078892.
  2. Wilkinson KD (Oct 2005). "The discovery of ubiquitin-dependent proteolysis". Proceedings of the National Academy of Sciences of the United States of America. 102 (43): 15280–2. doi:10.1073/pnas.0504842102. PMC 1266097Freely accessible. PMID 16230621.
  3. 1 2 Kimura Y, Tanaka K (Jun 2010). "Regulatory mechanisms involved in the control of ubiquitin homeostasis". Journal of Biochemistry. 147 (6): 793–8. doi:10.1093/jb/mvq044. PMID 20418328.
  4. 1 2 3 Glickman MH, Ciechanover A (Apr 2002). "The ubiquitin-proteasome proteolytic pathway: destruction for the sake of construction". Physiological Reviews. 82 (2): 373–428. doi:10.1152/physrev.00027.2001. PMID 11917093.
  5. 1 2 Mukhopadhyay D, Riezman H (Jan 2007). "Proteasome-independent functions of ubiquitin in endocytosis and signaling". Science. 315 (5809): 201–5. doi:10.1126/science.1127085. PMID 17218518.
  6. 1 2 3 Schnell JD, Hicke L (Sep 2003). "Non-traditional functions of ubiquitin and ubiquitin-binding proteins". The Journal of Biological Chemistry. 278 (38): 35857–60. doi:10.1074/jbc.R300018200. PMID 12860974.
  7. 1 2 Pickart CM, Eddins MJ (Nov 2004). "Ubiquitin: structures, functions, mechanisms". Biochimica et Biophysica Acta. 1695 (1-3): 55–72. doi:10.1016/j.bbamcr.2004.09.019. PMID 15571809.
  8. 1 2 3 4 5 Komander D, Rape M (2012). "The ubiquitin code". Annual Review of Biochemistry. 81: 203–29. doi:10.1146/annurev-biochem-060310-170328. PMID 22524316.
  9. 1 2 McDowell GS, Philpott A (Aug 2013). "Non-canonical ubiquitylation: mechanisms and consequences". The International Journal of Biochemistry & Cell Biology. 45 (8): 1833–42. doi:10.1016/j.biocel.2013.05.026. PMID 23732108.
  10. 1 2 3 4 5 Miranda M, Sorkin A (Jun 2007). "Regulation of receptors and transporters by ubiquitination: new insights into surprisingly similar mechanisms". Molecular Interventions. 7 (3): 157–67. doi:10.1124/mi.7.3.7. PMID 17609522.
  11. 1 2 "The Nobel Prize in Chemistry 2004". Nobelprize.org. Retrieved 2010-10-16.
  12. "The Nobel Prize in Chemistry 2004: Popular Information". Nobelprize.org. Retrieved 2013-12-14.
  13. Ciechanover A, Hod Y, Hershko A (Aug 2012). "A heat-stable polypeptide component of an ATP-dependent proteolytic system from reticulocytes. 1978". Biochemical and Biophysical Research Communications. 425 (3): 565–70. doi:10.1016/j.bbrc.2012.08.025. PMID 22925675.
  14. Wang C, Xi J, Begley TP, Nicholson LK (Jan 2001). "Solution structure of ThiS and implications for the evolutionary roots of ubiquitin". Nature Structural Biology. 8 (1): 47–51. doi:10.1038/83041. PMID 11135670.
  15. Lake MW, Wuebbens MM, Rajagopalan KV, Schindelin H (Nov 2001). "Mechanism of ubiquitin activation revealed by the structure of a bacterial MoeB-MoaD complex". Nature. 414 (6861): 325–9. doi:10.1038/35104586. PMID 11713534.
  16. Hochstrasser M (Mar 2009). "Origin and function of ubiquitin-like proteins". Nature. 458 (7237): 422–9. doi:10.1038/nature07958. PMC 2819001Freely accessible. PMID 19325621.
  17. 1 2 Pickart CM (2001). "Mechanisms underlying ubiquitination". Annual Review of Biochemistry. 70: 503–33. doi:10.1146/annurev.biochem.70.1.503. PMID 11395416.
  18. Marotti LA, Newitt R, Wang Y, Aebersold R, Dohlman HG (Apr 2002). "Direct identification of a G protein ubiquitination site by mass spectrometry". Biochemistry. 41 (16): 5067–74. doi:10.1021/bi015940q. PMID 11955054.
  19. 1 2 Peng J, Schwartz D, Elias JE, Thoreen CC, Cheng D, Marsischky G, Roelofs J, Finley D, Gygi SP (Aug 2003). "A proteomics approach to understanding protein ubiquitination". Nature Biotechnology. 21 (8): 921–6. doi:10.1038/nbt849. PMID 12872131.
  20. Breitschopf K, Bengal E, Ziv T, Admon A, Ciechanover A (Oct 1998). "A novel site for ubiquitination: the N-terminal residue, and not internal lysines of MyoD, is essential for conjugation and degradation of the protein". The EMBO Journal. 17 (20): 5964–73. doi:10.1093/emboj/17.20.5964. PMC 1170923Freely accessible. PMID 9774340.
  21. Bloom J, Amador V, Bartolini F, DeMartino G, Pagano M (Oct 2003). "Proteasome-mediated degradation of p21 via N-terminal ubiquitinylation". Cell. 115 (1): 71–82. doi:10.1016/S0092-8674(03)00755-4. PMID 14532004.
  22. 1 2 Scaglione KM, Basrur V, Ashraf NS, Konen JR, Elenitoba-Johnson KS, Todi SV, Paulson HL (Jun 2013). "The ubiquitin-conjugating enzyme (E2) Ube2w ubiquitinates the N terminus of substrates". The Journal of Biological Chemistry. 288 (26): 18784–8. doi:10.1074/jbc.C113.477596. PMC 3696654Freely accessible. PMID 23696636.
  23. Sadeh R, Breitschopf K, Bercovich B, Zoabi M, Kravtsova-Ivantsiv Y, Kornitzer D, Schwartz A, Ciechanover A (Oct 2008). "The N-terminal domain of MyoD is necessary and sufficient for its nuclear localization-dependent degradation by the ubiquitin system". Proceedings of the National Academy of Sciences of the United States of America. 105 (41): 15690–5. doi:10.1073/pnas.0808373105. PMC 2560994Freely accessible. PMID 18836078.
  24. Coulombe P, Rodier G, Bonneil E, Thibault P, Meloche S (Jul 2004). "N-Terminal ubiquitination of extracellular signal-regulated kinase 3 and p21 directs their degradation by the proteasome". Molecular and Cellular Biology. 24 (14): 6140–50. doi:10.1128/MCB.24.14.6140-6150.2004. PMC 434260Freely accessible. PMID 15226418.
  25. Kuo ML, den Besten W, Bertwistle D, Roussel MF, Sherr CJ (Aug 2004). "N-terminal polyubiquitination and degradation of the Arf tumor suppressor". Genes & Development. 18 (15): 1862–74. doi:10.1101/gad.1213904. PMC 517406Freely accessible. PMID 15289458.
  26. Ben-Saadon R, Fajerman I, Ziv T, Hellman U, Schwartz AL, Ciechanover A (Oct 2004). "The tumor suppressor protein p16(INK4a) and the human papillomavirus oncoprotein-58 E7 are naturally occurring lysine-less proteins that are degraded by the ubiquitin system. Direct evidence for ubiquitination at the N-terminal residue". The Journal of Biological Chemistry. 279 (40): 41414–21. doi:10.1074/jbc.M407201200. PMID 15254040.
  27. Li H, Okamoto K, Peart MJ, Prives C (Feb 2009). "Lysine-independent turnover of cyclin G1 can be stabilized by B'alpha subunits of protein phosphatase 2A". Molecular and Cellular Biology. 29 (3): 919–28. doi:10.1128/MCB.00907-08. PMC 2630686Freely accessible. PMID 18981217.
  28. Reinstein E, Scheffner M, Oren M, Ciechanover A, Schwartz A (Nov 2000). "Degradation of the E7 human papillomavirus oncoprotein by the ubiquitin-proteasome system: targeting via ubiquitination of the N-terminal residue". Oncogene. 19 (51): 5944–50. doi:10.1038/sj.onc.1203989. PMID 11127826.
  29. Aviel S, Winberg G, Massucci M, Ciechanover A (Aug 2000). "Degradation of the epstein-barr virus latent membrane protein 1 (LMP1) by the ubiquitin-proteasome pathway. Targeting via ubiquitination of the N-terminal residue". The Journal of Biological Chemistry. 275 (31): 23491–9. doi:10.1074/jbc.M002052200. PMID 10807912.
  30. Ikeda M, Ikeda A, Longnecker R (Aug 2002). "Lysine-independent ubiquitination of Epstein-Barr virus LMP2A". Virology. 300 (1): 153–9. doi:10.1006/viro.2002.1562. PMID 12202215.
  31. Yang J, Hong Y, Wang W, Wu W, Chi Y, Zong H, Kong X, Wei Y, Yun X, Cheng C, Chen K, Gu J (May 2009). "HSP70 protects BCL2L12 and BCL2L12A from N-terminal ubiquitination-mediated proteasomal degradation". FEBS Letters. 583 (9): 1409–14. doi:10.1016/j.febslet.2009.04.011. PMID 19376117.
  32. Wang Y, Shao Q, Yu X, Kong W, Hildreth JE, Liu B (May 2011). "N-terminal hemagglutinin tag renders lysine-deficient APOBEC3G resistant to HIV-1 Vif-induced degradation by reduced polyubiquitination". Journal of Virology. 85 (9): 4510–9. doi:10.1128/JVI.01925-10. PMC 3126286Freely accessible. PMID 21345952.
  33. Trausch-Azar JS, Lingbeck J, Ciechanover A, Schwartz AL (Jul 2004). "Ubiquitin-Proteasome-mediated degradation of Id1 is modulated by MyoD". The Journal of Biological Chemistry. 279 (31): 32614–9. doi:10.1074/jbc.M403794200. PMID 15163661.
  34. Trausch-Azar J, Leone TC, Kelly DP, Schwartz AL (Dec 2010). "Ubiquitin proteasome-dependent degradation of the transcriptional coactivator PGC-1{alpha} via the N-terminal pathway". The Journal of Biological Chemistry. 285 (51): 40192–200. doi:10.1074/jbc.M110.131615. PMC 3001001Freely accessible. PMID 20713359.
  35. Fajerman I, Schwartz AL, Ciechanover A (Feb 2004). "Degradation of the Id2 developmental regulator: targeting via N-terminal ubiquitination". Biochemical and Biophysical Research Communications. 314 (2): 505–12. doi:10.1016/j.bbrc.2003.12.116. PMID 14733935.
  36. 1 2 3 Vosper JM, McDowell GS, Hindley CJ, Fiore-Heriche CS, Kucerova R, Horan I, Philpott A (Jun 2009). "Ubiquitylation on canonical and non-canonical sites targets the transcription factor neurogenin for ubiquitin-mediated proteolysis". The Journal of Biological Chemistry. 284 (23): 15458–68. doi:10.1074/jbc.M809366200. PMC 2708843Freely accessible. PMID 19336407.
  37. 1 2 3 McDowell GS, Kucerova R, Philpott A (Oct 2010). "Non-canonical ubiquitylation of the proneural protein Ngn2 occurs in both Xenopus embryos and mammalian cells". Biochemical and Biophysical Research Communications. 400 (4): 655–60. doi:10.1016/j.bbrc.2010.08.122. PMID 20807509.
  38. Tatham MH, Plechanovová A, Jaffray EG, Salmen H, Hay RT (Jul 2013). "Ube2W conjugates ubiquitin to α-amino groups of protein N-termini". The Biochemical Journal. 453 (1): 137–45. doi:10.1042/BJ20130244. PMC 3778709Freely accessible. PMID 23560854.
  39. Vittal V, Shi L, Wenzel DM, Scaglione KM, Duncan ED, Basrur V, Elenitoba-Johnson KS, Baker D, Paulson HL, Brzovic PS, Klevit RE (Jan 2015). "Intrinsic disorder drives N-terminal ubiquitination by Ube2w". Nature Chemical Biology. 11 (1): 83–9. doi:10.1038/nchembio.1700. PMC 4270946Freely accessible. PMID 25436519.
  40. Johnson ES, Ma PC, Ota IM, Varshavsky A (Jul 1995). "A proteolytic pathway that recognizes ubiquitin as a degradation signal". The Journal of Biological Chemistry. 270 (29): 17442–56. doi:10.1074/jbc.270.29.17442. PMID 7615550.
  41. 1 2 Kirisako T, Kamei K, Murata S, Kato M, Fukumoto H, Kanie M, Sano S, Tokunaga F, Tanaka K, Iwai K (Oct 2006). "A ubiquitin ligase complex assembles linear polyubiquitin chains". The EMBO Journal. 25 (20): 4877–87. doi:10.1038/sj.emboj.7601360. PMC 1618115Freely accessible. PMID 17006537.
  42. 1 2 Wang X, Herr RA, Chua WJ, Lybarger L, Wiertz EJ, Hansen TH (May 2007). "Ubiquitination of serine, threonine, or lysine residues on the cytoplasmic tail can induce ERAD of MHC-I by viral E3 ligase mK3". The Journal of Cell Biology. 177 (4): 613–24. doi:10.1083/jcb.200611063. PMC 2064207Freely accessible. PMID 17502423.
  43. Cadwell K, Coscoy L (Jul 2005). "Ubiquitination on nonlysine residues by a viral E3 ubiquitin ligase". Science. 309 (5731): 127–30. doi:10.1126/science.1110340. PMID 15994556.
  44. Cadwell K, Coscoy L (Apr 2008). "The specificities of Kaposi's sarcoma-associated herpesvirus-encoded E3 ubiquitin ligases are determined by the positions of lysine or cysteine residues within the intracytoplasmic domains of their targets". Journal of Virology. 82 (8): 4184–9. doi:10.1128/JVI.02264-07. PMC 2293015Freely accessible. PMID 18272573.
  45. Williams C, van den Berg M, Sprenger RR, Distel B (Aug 2007). "A conserved cysteine is essential for Pex4p-dependent ubiquitination of the peroxisomal import receptor Pex5p". The Journal of Biological Chemistry. 282 (31): 22534–43. doi:10.1074/jbc.M702038200. PMID 17550898.
  46. Carvalho AF, Pinto MP, Grou CP, Alencastre IS, Fransen M, Sá-Miranda C, Azevedo JE (Oct 2007). "Ubiquitination of mammalian Pex5p, the peroxisomal import receptor". The Journal of Biological Chemistry. 282 (43): 31267–72. doi:10.1074/jbc.M706325200. PMID 17726030.
  47. Léon S, Subramani S (Mar 2007). "A conserved cysteine residue of Pichia pastoris Pex20p is essential for its recycling from the peroxisome to the cytosol". The Journal of Biological Chemistry. 282 (10): 7424–30. doi:10.1074/jbc.M611627200. PMC 3682499Freely accessible. PMID 17209040.
  48. 1 2 Tait SW, de Vries E, Maas C, Keller AM, D'Santos CS, Borst J (Dec 2007). "Apoptosis induction by Bid requires unconventional ubiquitination and degradation of its N-terminal fragment". The Journal of Cell Biology. 179 (7): 1453–66. doi:10.1083/jcb.200707063. PMC 2373500Freely accessible. PMID 18166654.
  49. 1 2 Roark R, Itzhaki L, Philpott A (Dec 2012). "Complex regulation controls Neurogenin3 proteolysis". Biology Open. 1 (12): 1264–72. doi:10.1242/bio.20121750. PMC 3522888Freely accessible. PMID 23259061.
  50. Magadán JG, Pérez-Victoria FJ, Sougrat R, Ye Y, Strebel K, Bonifacino JS (Apr 2010). "Multilayered mechanism of CD4 downregulation by HIV-1 Vpu involving distinct ER retention and ERAD targeting steps". PLoS Pathogens. 6 (4): e1000869. doi:10.1371/journal.ppat.1000869. PMC 2861688Freely accessible. PMID 20442859.
  51. Tokarev AA, Munguia J, Guatelli JC (Jan 2011). "Serine-threonine ubiquitination mediates downregulation of BST-2/tetherin and relief of restricted virion release by HIV-1 Vpu". Journal of Virology. 85 (1): 51–63. doi:10.1128/JVI.01795-10. PMC 3014196Freely accessible. PMID 20980512.
  52. Ishikura S, Weissman AM, Bonifacino JS (Jul 2010). "Serine residues in the cytosolic tail of the T-cell antigen receptor alpha-chain mediate ubiquitination and endoplasmic reticulum-associated degradation of the unassembled protein". The Journal of Biological Chemistry. 285 (31): 23916–24. doi:10.1074/jbc.M110.127936. PMC 2911338Freely accessible. PMID 20519503.
  53. Shimizu Y, Okuda-Shimizu Y, Hendershot LM (Dec 2010). "Ubiquitylation of an ERAD substrate occurs on multiple types of amino acids". Molecular Cell. 40 (6): 917–26. doi:10.1016/j.molcel.2010.11.033. PMC 3031134Freely accessible. PMID 21172657.
  54. Dikic I, Robertson M (2012). "Ubiquitin ligases and beyond". BMC Biology. 10: 22. doi:10.1186/1741-7007-10-22. PMC 3305657Freely accessible. PMID 22420755.
  55. Schulman BA, Harper JW (May 2009). "Ubiquitin-like protein activation by E1 enzymes: the apex for downstream signalling pathways". Nature Reviews Molecular Cell Biology. 10 (5): 319–31. doi:10.1038/nrm2673. PMC 2712597Freely accessible. PMID 19352404.
  56. Groettrup M, Pelzer C, Schmidtke G, Hofmann K (May 2008). "Activating the ubiquitin family: UBA6 challenges the field". Trends in Biochemical Sciences. 33 (5): 230–7. doi:10.1016/j.tibs.2008.01.005. PMID 18353650.
  57. van Wijk SJ, Timmers HT (Apr 2010). "The family of ubiquitin-conjugating enzymes (E2s): deciding between life and death of proteins". FASEB Journal. 24 (4): 981–93. doi:10.1096/fj.09-136259. PMID 19940261.
  58. Metzger MB, Hristova VA, Weissman AM (Feb 2012). "HECT and RING finger families of E3 ubiquitin ligases at a glance". Journal of Cell Science. 125 (Pt 3): 531–7. doi:10.1242/jcs.091777. PMC 3381717Freely accessible. PMID 22389392.
  59. Skaar JR, Pagano M (Dec 2009). "Control of cell growth by the SCF and APC/C ubiquitin ligases". Current Opinion in Cell Biology. 21 (6): 816–24. doi:10.1016/j.ceb.2009.08.004. PMC 2805079Freely accessible. PMID 19775879.
  60. Kerscher O, Felberbaum R, Hochstrasser M (2006). "Modification of proteins by ubiquitin and ubiquitin-like proteins". Annual Review of Cell and Developmental Biology. 22: 159–80. doi:10.1146/annurev.cellbio.22.010605.093503. PMID 16753028.
  61. Koegl M, Hoppe T, Schlenker S, Ulrich HD, Mayer TU, Jentsch S (Mar 1999). "A novel ubiquitination factor, E4, is involved in multiubiquitin chain assembly". Cell. 96 (5): 635–44. doi:10.1016/S0092-8674(00)80574-7. PMID 10089879.
  62. Lai Z, Ferry KV, Diamond MA, Wee KE, Kim YB, Ma J, Yang T, Benfield PA, Copeland RA, Auger KR (Aug 2001). "Human mdm2 mediates multiple mono-ubiquitination of p53 by a mechanism requiring enzyme isomerization". The Journal of Biological Chemistry. 276 (33): 31357–67. doi:10.1074/jbc.M011517200. PMID 11397792.
  63. Grossman SR, Deato ME, Brignone C, Chan HM, Kung AL, Tagami H, Nakatani Y, Livingston DM (Apr 2003). "Polyubiquitination of p53 by a ubiquitin ligase activity of p300". Science. 300 (5617): 342–4. doi:10.1126/science.1080386. PMID 12690203.
  64. Shi D, Pop MS, Kulikov R, Love IM, Kung AL, Kung A, Grossman SR (Sep 2009). "CBP and p300 are cytoplasmic E4 polyubiquitin ligases for p53". Proceedings of the National Academy of Sciences of the United States of America. 106 (38): 16275–80. doi:10.1073/pnas.0904305106. PMC 2752525Freely accessible. PMID 19805293.
  65. 1 2 3 4 5 Komander D (Oct 2009). "The emerging complexity of protein ubiquitination". Biochemical Society Transactions. 37 (Pt 5): 937–53. doi:10.1042/BST0370937. PMID 19754430.
  66. 1 2 3 Ikeda F, Dikic I (Jun 2008). "Atypical ubiquitin chains: new molecular signals. 'Protein Modifications: Beyond the Usual Suspects' review series". EMBO Reports. 9 (6): 536–42. doi:10.1038/embor.2008.93. PMC 2427391Freely accessible. PMID 18516089.
  67. Xu P, Peng J (May 2008). "Characterization of polyubiquitin chain structure by middle-down mass spectrometry". Analytical Chemistry. 80 (9): 3438–44. doi:10.1021/ac800016w. PMC 2663523Freely accessible. PMID 18351785.
  68. 1 2 Hicke L (Mar 2001). "Protein regulation by monoubiquitin". Nature Reviews Molecular Cell Biology. 2 (3): 195–201. doi:10.1038/35056583. PMID 11265249.
  69. Lecker SH, Goldberg AL, Mitch WE (Jul 2006). "Protein degradation by the ubiquitin-proteasome pathway in normal and disease states". Journal of the American Society of Nephrology. 17 (7): 1807–19. doi:10.1681/ASN.2006010083. PMID 16738015.
  70. 1 2 Kravtsova-Ivantsiv Y, Ciechanover A (Feb 2012). "Non-canonical ubiquitin-based signals for proteasomal degradation". Journal of Cell Science. 125 (Pt 3): 539–48. doi:10.1242/jcs.093567. PMID 22389393.
  71. Nathan JA, Kim HT, Ting L, Gygi SP, Goldberg AL (Feb 2013). "Why do cellular proteins linked to K63-polyubiquitin chains not associate with proteasomes?". The EMBO Journal. 32 (4): 552–65. doi:10.1038/emboj.2012.354. PMC 3579138Freely accessible. PMID 23314748.
  72. Bache KG, Raiborg C, Mehlum A, Stenmark H (Apr 2003). "STAM and Hrs are subunits of a multivalent ubiquitin-binding complex on early endosomes". The Journal of Biological Chemistry. 278 (14): 12513–21. doi:10.1074/jbc.M210843200. PMID 12551915.
  73. 1 2 Zhao S, Ulrich HD (Apr 2010). "Distinct consequences of posttranslational modification by linear versus K63-linked polyubiquitin chains". Proceedings of the National Academy of Sciences of the United States of America. 107 (17): 7704–9. doi:10.1073/pnas.0908764107. PMC 2867854Freely accessible. PMID 20385835.
  74. Kim HT, Kim KP, Lledias F, Kisselev AF, Scaglione KM, Skowyra D, Gygi SP, Goldberg AL (Jun 2007). "Certain pairs of ubiquitin-conjugating enzymes (E2s) and ubiquitin-protein ligases (E3s) synthesize nondegradable forked ubiquitin chains containing all possible isopeptide linkages". The Journal of Biological Chemistry. 282 (24): 17375–86. doi:10.1074/jbc.M609659200. PMID 17426036.
  75. Michel MA, Elliott PR, Swatek KN, Simicek M, Pruneda JN, Wagstaff JL, Freund SM, Komander D (Apr 2015). "Assembly and specific recognition of k29- and k33-linked polyubiquitin". Molecular Cell. 58 (1): 95–109. doi:10.1016/j.molcel.2015.01.042. PMID 25752577.
  76. 1 2 "Ubiquitin Proteasome Pathway Overview". Archived from the original on 2008-03-30. Retrieved 2008-04-30.
  77. Shaheen M, Shanmugam I, Hromas R (2010). "The Role of PCNA Posttranslational Modifications in Translesion Synthesis". Journal of Nucleic Acids. 2010: 1–8. doi:10.4061/2010/761217. PMC 2935186Freely accessible. PMID 20847899.
  78. Jackson SP, Durocher D (Mar 2013). "Regulation of DNA damage responses by ubiquitin and SUMO". Molecular Cell. 49 (5): 795–807. doi:10.1016/j.molcel.2013.01.017. PMID 23416108.
  79. Campbell SJ, Edwards RA, Leung CC, Neculai D, Hodge CD, Dhe-Paganon S, Glover JN (Jul 2012). "Molecular insights into the function of RING finger (RNF)-containing proteins hRNF8 and hRNF168 in Ubc13/Mms2-dependent ubiquitylation". The Journal of Biological Chemistry. 287 (28): 23900–10. doi:10.1074/jbc.M112.359653. PMC 3390666Freely accessible. PMID 22589545.
  80. Ikura T, Tashiro S, Kakino A, Shima H, Jacob N, Amunugama R, Yoder K, Izumi S, Kuraoka I, Tanaka K, Kimura H, Ikura M, Nishikubo S, Ito T, Muto A, Miyagawa K, Takeda S, Fishel R, Igarashi K, Kamiya K (Oct 2007). "DNA damage-dependent acetylation and ubiquitination of H2AX enhances chromatin dynamics". Molecular and Cellular Biology. 27 (20): 7028–40. doi:10.1128/MCB.00579-07. PMC 2168918Freely accessible. PMID 17709392.
  81. Kim H, Chen J, Yu X (May 2007). "Ubiquitin-binding protein RAP80 mediates BRCA1-dependent DNA damage response". Science. 316 (5828): 1202–5. doi:10.1126/science.1139621. PMID 17525342.
  82. Hofmann K (Apr 2009). "Ubiquitin-binding domains and their role in the DNA damage response". DNA Repair. 8 (4): 544–56. doi:10.1016/j.dnarep.2009.01.003. PMID 19213613.
  83. Hammond-Martel I, Yu H, Affar el B (Feb 2012). "Roles of ubiquitin signaling in transcription regulation". Cellular Signalling. 24 (2): 410–21. doi:10.1016/j.cellsig.2011.10.009. PMID 22033037.
  84. Reyes-Turcu FE, Ventii KH, Wilkinson KD (2009). "Regulation and cellular roles of ubiquitin-specific deubiquitinating enzymes". Annual Review of Biochemistry. 78: 363–97. doi:10.1146/annurev.biochem.78.082307.091526. PMC 2734102Freely accessible. PMID 19489724.
  85. Nijman SM, Luna-Vargas MP, Velds A, Brummelkamp TR, Dirac AM, Sixma TK, Bernards R (Dec 2005). "A genomic and functional inventory of deubiquitinating enzymes". Cell. 123 (5): 773–86. doi:10.1016/j.cell.2005.11.007. PMID 16325574.
  86. 1 2 Hicke L, Schubert HL, Hill CP (Aug 2005). "Ubiquitin-binding domains". Nature Reviews Molecular Cell Biology. 6 (8): 610–21. doi:10.1038/nrm1701. PMID 16064137.
  87. Husnjak, Koraljka; Dikic, Ivan (2012-01-01). "Ubiquitin-binding proteins: decoders of ubiquitin-mediated cellular functions". Annual Review of Biochemistry. 81: 291–322. doi:10.1146/annurev-biochem-051810-094654. ISSN 1545-4509. PMID 22482907.
  88. "UBQLN1 ubiquilin 1 [ Homo sapiens ]". Gene. National Center for Biotechnology Information. Retrieved 9 May 2012.
  89. 1 2 Stieren ES, El Ayadi A, Xiao Y, Siller E, Landsverk ML, Oberhauser AF, Barral JM, Boehning D (Oct 2011). "Ubiquilin-1 is a molecular chaperone for the amyloid precursor protein". The Journal of Biological Chemistry. 286 (41): 35689–98. doi:10.1074/jbc.M111.243147. PMC 3195644Freely accessible. PMID 21852239. Lay summary Science Daily.
  90. Huber C, Dias-Santagata D, Glaser A, O'Sullivan J, Brauner R, Wu K, Xu X, Pearce K, Wang R, Uzielli ML, Dagoneau N, Chemaitilly W, Superti-Furga A, Dos Santos H, Mégarbané A, Morin G, Gillessen-Kaesbach G, Hennekam R, Van der Burgt I, Black GC, Clayton PE, Read A, Le Merrer M, Scambler PJ, Munnich A, Pan ZQ, Winter R, Cormier-Daire V (Oct 2005). "Identification of mutations in CUL7 in 3-M syndrome". Nature Genetics. 37 (10): 1119–24. doi:10.1038/ng1628. PMID 16142236.
  91. Downes BP, Saracco SA, Lee SS, Crowell DN, Vierstra RD (Sep 2006). "MUBs, a family of ubiquitin-fold proteins that are plasma membrane-anchored by prenylation". The Journal of Biological Chemistry. 281 (37): 27145–57. doi:10.1074/jbc.M602283200. PMID 16831869.
  92. Welchman RL, Gordon C, Mayer RJ (Aug 2005). "Ubiquitin and ubiquitin-like proteins as multifunctional signals". Nature Reviews Molecular Cell Biology. 6 (8): 599–609. doi:10.1038/nrm1700. PMID 16064136.
  93. Grabbe C, Dikic I (Apr 2009). "Functional roles of ubiquitin-like domain (ULD) and ubiquitin-binding domain (UBD) containing proteins". Chemical Reviews. 109 (4): 1481–94. doi:10.1021/cr800413p. PMID 19253967.
  94. Sutovsky P, Moreno RD, Ramalho-Santos J, Dominko T, Simerly C, Schatten G (Aug 2000). "Ubiquitinated sperm mitochondria, selective proteolysis, and the regulation of mitochondrial inheritance in mammalian embryos". Biology of Reproduction. 63 (2): 582–90. doi:10.1095/biolreprod63.2.582. PMID 10906068.
  95. Tung CW, Ho SY (2008). "Computational identification of ubiquitylation sites from protein sequences". BMC Bioinformatics. 9: 310. doi:10.1186/1471-2105-9-310. PMC 2488362Freely accessible. PMID 18625080.
  96. Radivojac P, Vacic V, Haynes C, Cocklin RR, Mohan A, Heyen JW, Goebl MG, Iakoucheva LM (Feb 2010). "Identification, analysis, and prediction of protein ubiquitination sites". Proteins. 78 (2): 365–80. doi:10.1002/prot.22555. PMC 3006176Freely accessible. PMID 19722269.
  97. Chen Z, Chen YZ, Wang XF, Wang C, Yan RX, Zhang Z (2011). Fraternali F, ed. "Prediction of ubiquitination sites by using the composition of k-spaced amino acid pairs". PLOS ONE. 6 (7): e22930. doi:10.1371/journal.pone.0022930. PMC 3146527Freely accessible. PMID 21829559.
This article is issued from Wikipedia - version of the 11/8/2016. The text is available under the Creative Commons Attribution/Share Alike but additional terms may apply for the media files.