Squalene monooxygenase

Squalene epoxidase

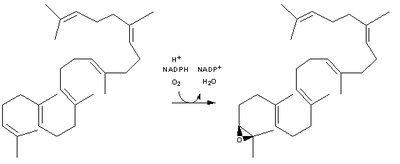
Chemical reaction catalyzed by squalene epoxidase.
Identifiers
EC number 1.14.13.132
CAS number 9029-62-3
Databases
IntEnz IntEnz view
BRENDA BRENDA entry
ExPASy NiceZyme view
KEGG KEGG entry
MetaCyc metabolic pathway
PRIAM profile
PDB structures RCSB PDB PDBe PDBsum
Gene Ontology AmiGO / EGO
SQLE
Identifiers
Aliases SQLE, entrez:6713
External IDs OMIM: 602019 MGI: 109296 HomoloGene: 2355 GeneCards: SQLE
Orthologs
Species Human Mouse
Entrez

6713

20775

Ensembl

ENSG00000104549

ENSMUSG00000022351

UniProt

Q14534

P52019

RefSeq (mRNA)

NM_003129

NM_009270

RefSeq (protein)

NP_003120.2

NP_033296.1

Location (UCSC) Chr 8: 125 – 125.02 Mb Chr 15: 59.32 – 59.33 Mb
PubMed search [1] [2]
Wikidata
View/Edit HumanView/Edit Mouse

Squalene monooxygenase (also called squalene epoxidase) is an enzyme that uses NADPH and molecular oxygen to oxidize squalene to 2,3-oxidosqualene (squalene epoxide). Squalene epoxidase catalyzes the first oxygenation step in sterol biosynthesis and is thought to be one of the rate-limiting enzymes in this pathway.[3] In humans, squalene epoxidase is encoded by the SQLE gene.[4] Squalene monooxygenase (SqMO) was formerly referred to as squalene epoxidase (SqE) in the literature.[5]

Mechanism

Squalene monooxygenase is a flavoprotein monooxygenase. Flavoprotein monooxygenase form flavin hydroperoxides at the enzyme active site, which then transfer the terminal oxygen atom of the hydroperoxide to the substrate. Squalene monooxygenase differs from other flavin monooxygenases in that the oxygen is inserted as an epoxide rather than as a hydroxyl group. Squalene monooxygenase contains a loosely bound FAD flavin and obtains electrons from NADPH-cytochrome P450 reductase, rather than binding the nicotinamide cofactor NADPH directly.

Inhibitors

Inhibitors of squalene epoxidase have found application mainly as antifungal drugs:[6]

Since squalene epoxidase is on the biosynthetic pathway leading to cholesterol, inhibitors of this enzyme may also find application in treatment of hypercholesterolemia.[8]

Localization

In yeast Saccharomyces cerevisiae, squalene epoxidase is localized to both the endoplasmic reticulum and lipid droplets. Only the ER localized protein is active.

Additional products

Squalene epoxidase also catalyzes the formation of diepoxysqualene (DOS). DOS is converted to 24(S),25-epoxylanosterol by lanosterol synthase.

Model organisms

Model organisms have been used in the study of SQLE function. A conditional knockout mouse line called Sqletm1a(EUCOMM)Wtsi was generated at the Wellcome Trust Sanger Institute.[9] Male and female animals underwent a standardized phenotypic screen[10] to determine the effects of deletion.[11][12][13][14] Additional screens performed: - In-depth immunological phenotyping[15]

See also

References

  1. "Human PubMed Reference:".
  2. "Mouse PubMed Reference:".
  3. "Entrez Gene: SQLE squalene epoxidase".
  4. Nagai M, Sakakibara J, Wakui K, Fukushima Y, Igarashi S, Tsuji S, Arakawa M, Ono T (Aug 1997). "Localization of the squalene epoxidase gene (SQLE) to human chromosome region 8q24.1". Genomics. 44 (1): 141–3. doi:10.1006/geno.1997.4825. PMID 9286711.
  5. Sharpe LJ, Brown AJ (Jun 2013). "Controlling cholesterol synthesis beyond 3-hydroxy-3-methylglutaryl-CoA reductase (HMGCR)". The Journal of Biological Chemistry. 288 (26): 18707–15. doi:10.1074/jbc.R113.479808. PMID 23696639.
  6. Favre B, Ryder NS (Feb 1996). "Characterization of squalene epoxidase activity from the dermatophyte Trichophyton rubrum and its inhibition by terbinafine and other antimycotic agents". Antimicrobial Agents and Chemotherapy. 40 (2): 443–7. PMC 163131Freely accessible. PMID 8834895.
  7. Ryder NS (Feb 1992). "Terbinafine: mode of action and properties of the squalene epoxidase inhibition". The British Journal of Dermatology. 126 Suppl 39: 2–7. doi:10.1111/j.1365-2133.1992.tb00001.x. PMID 1543672.
  8. Chugh A, Ray A, Gupta JB (Jan 2003). "Squalene epoxidase as hypocholesterolemic drug target revisited". Progress in Lipid Research. 42 (1): 37–50. doi:10.1016/S0163-7827(02)00029-2. PMID 12467639.
  9. Gerdin AK (2010). "The Sanger Mouse Genetics Programme: high throughput characterisation of knockout mice". Acta Ophthalmologica. 88: 925–7. doi:10.1111/j.1755-3768.2010.4142.x.
  10. 1 2 "International Mouse Phenotyping Consortium".
  11. Skarnes WC, Rosen B, West AP, Koutsourakis M, Bushell W, Iyer V, Mujica AO, Thomas M, Harrow J, Cox T, Jackson D, Severin J, Biggs P, Fu J, Nefedov M, de Jong PJ, Stewart AF, Bradley A (Jun 2011). "A conditional knockout resource for the genome-wide study of mouse gene function". Nature. 474 (7351): 337–42. doi:10.1038/nature10163. PMC 3572410Freely accessible. PMID 21677750.
  12. Dolgin E (Jun 2011). "Mouse library set to be knockout". Nature. 474 (7351): 262–3. doi:10.1038/474262a. PMID 21677718.
  13. Collins FS, Rossant J, Wurst W (Jan 2007). "A mouse for all reasons". Cell. 128 (1): 9–13. doi:10.1016/j.cell.2006.12.018. PMID 17218247.
  14. White JK, Gerdin AK, Karp NA, Ryder E, Buljan M, Bussell JN, Salisbury J, Clare S, Ingham NJ, Podrini C, Houghton R, Estabel J, Bottomley JR, Melvin DG, Sunter D, Adams NC, Tannahill D, Logan DW, Macarthur DG, Flint J, Mahajan VB, Tsang SH, Smyth I, Watt FM, Skarnes WC, Dougan G, Adams DJ, Ramirez-Solis R, Bradley A, Steel KP (Jul 2013). "Genome-wide generation and systematic phenotyping of knockout mice reveals new roles for many genes". Cell. 154 (2): 452–64. doi:10.1016/j.cell.2013.06.022. PMC 3717207Freely accessible. PMID 23870131.
  15. 1 2 "Infection and Immunity Immunophenotyping (3i) Consortium".

Further reading

This article incorporates text from the United States National Library of Medicine, which is in the public domain.

This article is issued from Wikipedia - version of the 7/20/2016. The text is available under the Creative Commons Attribution/Share Alike but additional terms may apply for the media files.