Aldosterone synthase
| View/Edit Human | View/Edit Mouse |
Aldosterone synthase is a steroid hydroxylase cytochrome P450 enzyme involved in the biosynthesis of the mineralocorticoid aldosterone. It is a protein which is only expressed in the zona glomerulosa[4] of the adrenal cortex and is primarily regulated by the renin-angiotensin system.[5] It is the sole enzyme capable of synthesizing aldosterone in humans and plays an important role in electrolyte balance and blood pressure.[6]
Genetics
Aldosterone synthase is encoded on chromosome 8q22[4] by the CYP11B2 gene.[4] The gene contains 9 exons and spans roughly 7000 base pairs of DNA.[4] CYP11B2 is closely related with CYP11B1. The two genes show 93% homology to each other and are both encodes on the same chromosome.[7] Research has shown that calcium ions act as a transcription factor for CYP11B2 through well defined interactions at the 5'-flanking region of CYP11B2.[4]
Aldosterone synthase is a member of the cytochrome P450 superfamily of enzymes.[8] The cytochrome P450 proteins are monooxygenases that catalyze many reactions involved in drug metabolism and synthesis of cholesterol, steroids, and other lipids.
Function
Aldosterone, when present, binds to intracellular mineralocorticoid receptors which can then bind to DNA and influence transcription of genes encoding serum and glucocorticoid induced kinase, SGK. Serum and glucocorticoid induced kinase (SGK) can phosphorylate a uniquitin ligase (NEDD4) which inactivates its ability to remove and degrade sodium channels from apical membranes.[9] Aldosterone activity is primarily regulated by the renin-angiotensin system and shows a diurnal rhythm of secretion.[5] Adrenocorticotropic hormone is also assumed to play a role in the regulation of aldosterone synthase likely through stimulating the synthesis of 11-deoxycorticosterone which is the initial substrate of the enzymatic action in aldosterone synthase.[10]

Aldosterone can be inhibited by antialdosteronic drugs such as spironolactone and eplerenone. In the chance that aldosterone activity is too high to be metabolically beneficial salt and fluid build up can occur which may stiffen the heart muscle increasing the risk of cardiovascular malfunction.[11]
Metabolism

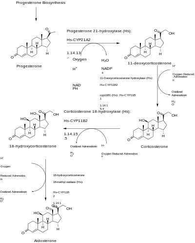
Aldosterone synthase converts 11-deoxycorticosterone to corticosterone, to 18-hydroxycorticosterone, and finally to aldosterone:
In human metabolism the biosynthesis of aldosterone largely depends on the metabolism of cholesterol. Cholesterol is metabolized in what is known as the early pathway of aldosterone synthesis[12] and is hydroxylated becoming (20R,22R)-dihydroxycholesterol which is then metabolized as a direct precursor to pregnenolone. Pregnenolone can then followed one of two pathways which involve the metabolism of progesterone or the testosterone and estradiol biosynthesis. Aldosterone is synthesized by following the metabolism of progesterone.
In the potential case where aldosterone synthase is not metabolically active the body accumulates 11-deoxycorticosterone. This increases salt retention leading to increased hypertension.[13]
Methyl oxidase deficiency
Lack of metabolically active aldosterone synthase leads to corticosterone methyl oxidase deficiency type I and II. The deficiency is characterized clinically by salt-wasting, failure to thrive, and growth retardation.[14] The in-active proteins are caused by the autosomal recessive inheritance of defective CYP11B2 genes in which genetic mutations destroy the enzymatic activity of aldosterone synthase.[14] Deficient aldosterone synthase activity results in impaired biosynthesis of aldosterone while corticosterone in the zona glomerulosa is excessively produced in both corticosterone methyl oxidase deficiency type I and II. The corticosterone methyl oxidase deficiencies both share this effect however type I causes an overall deficiency of 18-hydroxycorticosterone while type II overproduces it.[14]
Enzymatic inhibition
Inhibition of aldosterone synthase is currently being investigated as a medical treatment for hypertension, heart failure, and renal disorders.[15] Deactivation of enzymatic activity reduces aldosterone concentrations in plasma and tissues which decreases mineralocorticoid receptor-dependent and independent effects in cardiac vascular and renal target organs.[15] Inhibition has shown to decrease plasma and urinary aldosterone concentrations by 70 - 80%, rapid hypokalaemia correction, moderate decrease of blood pressure, and an increase plasma renin activity in patients who are on a low-sodium diet.[15] Ongoing medical research is focusing on the synthesis of second-generation aldosterone synthase inhibitors to create an ideally selective inhibitor as the current, orally delivered, LCl699 has shown to be non-specific to aldosterone synthase.[15]
See also
Additional images

References
- ↑ "Drugs that physically interact with Cytochrome P450 11B2, mitochondrial view/edit references on wikidata".
- ↑ "Human PubMed Reference:".
- ↑ "Mouse PubMed Reference:".
- 1 2 3 4 5 Bassett MH, White PC, Rainey WE (March 2004). "The regulation of aldosterone synthase expression". Mol. Cell. Endocrinol. 217 (1–2): 67–74. doi:10.1016/j.mce.2003.10.011. PMID 15134803.
- 1 2 Peter M, Dubuis JM, Sippell WG (1999). "Disorders of the aldosterone synthase and steroid 11β-hydroxylase deficiencies". Horm. Res. 51 (5): 211–22. doi:10.1159/000023374. PMID 10559665.
- ↑ Strushkevich N, Gilep AA, Shen L, Arrowsmith CH, Edwards AM, Usanov SA, Park HW (February 2013). "Structural insights into aldosterone synthase substrate specificity and targeted inhibition". Molecular Endocrinology. 27 (2): 315–324. doi:10.1210/me.2012-1287. PMID 23322723.
- ↑ Mornet E, Dupont J, Vitek A, White PC (June 1989). "Characterization of two genes encoding human steroid 11-beta-hydroxylase (P-45011-beta)". J Biol Chem. 264 (15): 20961–20967. PMID 2592361.
- ↑ "CYP11B2". Retrieved 17 September 2013.
- ↑ White PC (March 2004). "Aldosterone synthase deficiency and related disorders". Mol. Cell. Endocrinol. 217 (1–2): 81–7. doi:10.1016/j.mce.2003.10.013. PMID 15134805.
- ↑ Brown RD, Strott CA, Liddle GW (June 1972). "Site of stimulation of aldosterone biosynthesis by angiotensin and potassium". J Clin Invest. 51 (6): 1413–8. doi:10.1172/JCI106937. PMC 292278
. PMID 4336939. - ↑ Martinez FA (Aug 2010). "Aldosterone inhibition and cardiovascular protection: more important than it once appeared". Cardiovascular drugs and therapy. 24 (4): 345–350. doi:10.1007/s10557-010-6256-6. PMID 20676926.
- ↑ Williams GH (January 2005). "Aldosterone Biosynthesis, Regulation, and Classical Mechanism of Action". Heart failure reviews. 10 (1): 7–13. doi:10.1007/s10741-005-2343-3.
- ↑ National Library of Medicine (US) (Sep 2013). "CYP11B1". Genetics Home Reference.
- 1 2 3 Peter M, Fawaz L, Drop SL, Visser HK, Sippell WG (November 1997). "Hereditary defect in biosynthesis of aldosterone: aldosterone synthase deficiency 1964-1997". J. Clin. Endocrinol. Metab. 82 (11): 3525–8. doi:10.1210/jc.82.11.3525. PMID 9360501.
- 1 2 3 4 Azizi M, Amar L, Menard J (October 2013). "Aldosterone synthase inhibition in humans". Nephrol. Dial. Transplant. 28 (1): 36–43. doi:10.1093/ndt/gfs388. PMID 23045428.
Further reading
- Helmberg A (1993). "Twin genes and endocrine disease: CYP21 and CYP11B genes". Acta Endocrinol. 129 (2): 97–108. doi:10.1530/acta.0.1290097. PMID 8372604.
- Slight SH, Joseph J, Ganjam VK, Weber KT (1999). "Extra-adrenal mineralocorticoids and cardiovascular tissue". J. Mol. Cell. Cardiol. 31 (6): 1175–84. doi:10.1006/jmcc.1999.0963. PMID 10371693.
- Stowasser M, Gunasekera TG, Gordon RD (2002). "Familial varieties of primary aldosteronism". Clin. Exp. Pharmacol. Physiol. 28 (12): 1087–90. doi:10.1046/j.1440-1681.2001.03574.x. PMID 11903322.
- Padmanabhan N, Padmanabhan S, Connell JM (2002). "Genetic basis of cardiovascular disease--the renin-angiotensin-aldosterone system as a paradigm". Journal of the renin-angiotensin-aldosterone system : JRAAS. 1 (4): 316–24. doi:10.3317/jraas.2000.060. PMID 11967817.
- Lifton RP, Dluhy RG, Powers M, Rich GM, Gutkin M, Fallo F, Gill JR Jr, Feld L, Ganguly A, Laidlaw JC, et al. (1993). "Hereditary hypertension caused by chimaeric gene duplications and ectopic expression of aldosterone synthase". Nat. Genet. 2 (1): 66–74. doi:10.1038/ng0992-66. PMID 1303253.
- Mitsuuchi Y, Kawamoto T, Naiki Y, Miyahara K, Toda K, Kuribayashi I, Orii T, Yasuda K, Miura K, Nakao K, et al. (1992). "Congenitally defective aldosterone biosynthesis in humans: the involvement of point mutations of the P-450C18 gene (CYP11B2) in CMO II deficient patients". Biochem. Biophys. Res. Commun. 182 (2): 974–9. doi:10.1016/0006-291X(92)91827-D. PMID 1346492.
- Pascoe L, Curnow KM, Slutsker L, Connell JM, Speiser PW, New MI, White PC (1992). "Glucocorticoid-suppressible hyperaldosteronism results from hybrid genes created by unequal crossovers between CYP11B1 and CYP11B2". Proc. Natl. Acad. Sci. U.S.A. 89 (17): 8327–31. doi:10.1073/pnas.89.17.8327. PMC 49911
. PMID 1518866. - Pascoe L, Curnow KM, Slutsker L, Rösler A, White PC (1992). "Mutations in the human CYP11B2 (aldosterone synthase) gene causing corticosterone methyloxidase II deficiency". Proc. Natl. Acad. Sci. U.S.A. 89 (11): 4996–5000. doi:10.1073/pnas.89.11.4996. PMC 49215
. PMID 1594605. - Kawamoto T, Mitsuuchi Y, Toda K, Yokoyama Y, Miyahara K, Miura S, Ohnishi T, Ichikawa Y, Nakao K, Imura H, et al. (1992). "Role of steroid 11 beta-hydroxylase and steroid 18-hydroxylase in the biosynthesis of glucocorticoids and mineralocorticoids in humans". Proc. Natl. Acad. Sci. U.S.A. 89 (4): 1458–62. doi:10.1073/pnas.89.4.1458. PMC 48470
. PMID 1741400. - Curnow KM, Tusie-Luna MT, Pascoe L, Natarajan R, Gu JL, Nadler JL, White PC (1992). "The product of the CYP11B2 gene is required for aldosterone biosynthesis in the human adrenal cortex". Mol. Endocrinol. 5 (10): 1513–22. doi:10.1210/mend-5-10-1513. PMID 1775135.
- Kawainoto T, Mitsuuchi Y, Ohnishi T, Ichikawa Y, Yokoyama Y, Sumimoto H, Toda K, Miyahara K, Kuribayashi I, Nakao K, et al. (1991). "Cloning and expression of a cDNA for human cytochrome P-450aldo as related to primary aldosteronism". Biochem. Biophys. Res. Commun. 173 (1): 309–16. doi:10.1016/S0006-291X(05)81058-7. PMID 2256920.
- Mornet E, Dupont J, Vitek A, White PC (1990). "Characterization of two genes encoding human steroid 11 beta-hydroxylase (P-450(11) beta)". J. Biol. Chem. 264 (35): 20961–7. PMID 2592361.
- Martsev SP, Chashchin VL, Akhrem AA (1985). "[Reconstruction and study of a multi-enzyme system by 11 beta-hydroxylase steroids]". Biokhimiia. 50 (2): 243–57. PMID 3872685.
- Shizuta Y, Kawamoto T, Mitsuuchi Y, Miyahara K, Rösler A, Ulick S, Imura H (1995). "Inborn errors of aldosterone biosynthesis in humans". Steroids. 60 (1): 15–21. doi:10.1016/0039-128X(94)00023-6. PMID 7792802.
- Mitsuuchi Y, Kawamoto T, Miyahara K, Ulick S, Morton DH, Naiki Y, Kuribayashi I, Toda K, Hara T, Orii T, et al. (1993). "Congenitally defective aldosterone biosynthesis in humans: inactivation of the P-450C18 gene (CYP11B2) due to nucleotide deletion in CMO I deficient patients". Biochem. Biophys. Res. Commun. 190 (3): 864–9. doi:10.1006/bbrc.1993.1128. PMID 8439335.
- Fardella CE, Rodriguez H, Montero J, Zhang G, Vignolo P, Rojas A, Villarroel L, Miller WL (1997). "Genetic variation in P450c11AS in Chilean patients with low renin hypertension". J. Clin. Endocrinol. Metab. 81 (12): 4347–51. doi:10.1210/jc.81.12.4347. PMID 8954040.
- Nomoto S, Massa G, Mitani F, Ishimura Y, Miyahara K, Toda K, Nagano I, Yamashiro T, Ogoshi S, Fukata J, Onishi S, Hashimoto K, Doi Y, Imura H, Shizuta Y (1997). "CMO I deficiency caused by a point mutation in exon 8 of the human CYP11B2 gene encoding steroid 18-hydroxylase (P450C18)". Biochem. Biophys. Res. Commun. 234 (2): 382–5. doi:10.1006/bbrc.1997.6651. PMID 9177280.
- Taymans SE, Pack S, Pak E, Torpy DJ, Zhuang Z, Stratakis CA (1998). "Human CYP11B2 (aldosterone synthase) maps to chromosome 8q24.3". J. Clin. Endocrinol. Metab. 83 (3): 1033–6. doi:10.1210/jc.83.3.1033. PMID 9506770.
External links
- Aldosterone synthase at the US National Library of Medicine Medical Subject Headings (MeSH)
Category:Cytochrome P450




