Butoconazole
![]() | |
| Clinical data | |
|---|---|
| Trade names | Gynazole-1, Mycelex-3 |
| AHFS/Drugs.com | Monograph |
| MedlinePlus | a682012 |
| Pregnancy category |
|
| Routes of administration | Vaginal cream |
| ATC code | G01AF15 (WHO) |
| Legal status | |
| Legal status |
|
| Identifiers | |
| |
| CAS Number |
67085-13-6 |
| PubChem (CID) | 47472 |
| DrugBank |
DB00639 |
| ChemSpider |
43192 |
| UNII |
0Q771797PH |
| KEGG |
D00880 |
| ChEBI |
CHEBI:3240 |
| ChEMBL |
CHEMBL1295 |
| Chemical and physical data | |
| Formula | C19H17Cl3N2S |
| Molar mass | 411.776 g/mol |
| 3D model (Jmol) | Interactive image |
| |
| |
| | |
Butoconazole (trade names Gynazole-1, Mycelex-3) is an imidazole antifungal used in gynecology. It is administered as a vaginal cream.[1][2]
Synthesis

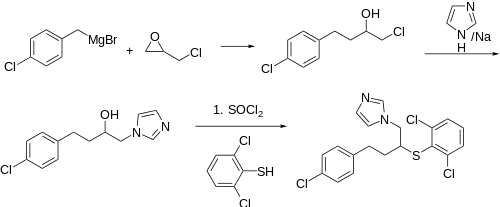
Reaction of epichlorohydrin with 4-chlorophenylbenzylmganeium chloride leads to 1-chloro-4-(4-chlorophenyl)butan-2-ol (3). Displacement with sodium imidazole, conversion of the secondary alcohol to the chloride (SOCl2), and displacement with 2,6-dichlorobenzenethiol concludes the synthesis of the antifungal butoconazole.
References
- ↑ Seidman, L. S.; Skokos, C. K. (2005). "An evaluation of butoconazole nitrate 2% site release vaginal cream (Gynazole-1) compared to fluconazole 150 mg tablets (Diflucan) in the time to relief of symptoms in patients with vulvovaginal candidiasis". Infectious diseases in obstetrics and gynecology. 13 (4): 197–206. doi:10.1080/10647440500240615 (inactive 2016-05-14). PMC 1784583
. PMID 16338779. - ↑ Butoconazole Monograph
- ↑ Walker, Keith A. M.; Braemer, Allen C.; Hitt, Sharon; Jones, Richard E.; Matthews, Thomas R. (1978). "1-[4-(4-Chlorophenyl)-2-(2,6-dichlorophenylthio)-n-butyl]-1H-imidazole nitrate, a new potent antifungal agent". Journal of Medicinal Chemistry. 21 (8): 840. doi:10.1021/jm00206a028. PMID 357722.
This article is issued from Wikipedia - version of the 5/14/2016. The text is available under the Creative Commons Attribution/Share Alike but additional terms may apply for the media files.
