Dazoxiben
![]() | |
| Identifiers | |
|---|---|
| 78218-09-4 | |
| 3D model (Jmol) | Interactive image |
| ChEMBL | ChEMBL267473 |
| ChemSpider | 47885 |
| DrugBank | DB03052 |
| 5175 | |
| PubChem | 53001 |
| UNII | 09ZFC7974Q |
| |
| |
| Properties | |
| C12H12N2O3 | |
| Molar mass | 232.24 g·mol−1 |
| Except where otherwise noted, data are given for materials in their standard state (at 25 °C [77 °F], 100 kPa). | |
| | |
| Infobox references | |
Dazoxiben is an orally active thromboxane synthase inhibitor.[1] It has shown a significant clinical improvement in patients with Raynaud's syndrome.[2]
Synthesis
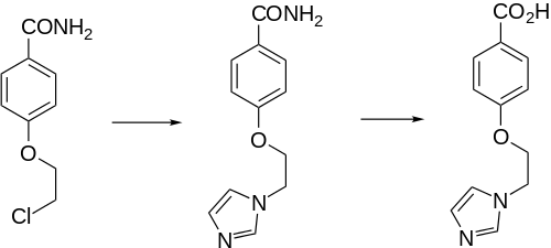
One convenient synthesis starts with the O-chloroethyl ether of p-hydroxybenzamide and proceeds bydisplacement with imidazole to give 2. Hydrolysis of the amide function completes the synthesis of dazoxiben.
References
- ↑ Belch, J. J.; Cormie, J.; Newman, P.; McLaren, M.; Barbenel, J.; Capell, H.; Leiberman, P.; Forbes, C. D.; Prentice, C. R. (1983). "Dazoxiben, a thromboxane synthetase inhibitor, in the treatment of Raynaud's syndrome: A double-blind trial". British Journal of Clinical Pharmacology. 15 Suppl 1 (Suppl 1): 113S–116S. doi:10.1111/j.1365-2125.1983.tb02119.x. PMC 1427695
. PMID 6337601. - ↑ Belch, J. J.; Cormie, J.; Newman, P.; McLaren, M.; Barbenel, J.; Capell, H.; Leiberman, P.; Forbes, C. D.; Prentice, C. R. (1983). "Dazoxiben, a thromboxane synthetase inhibitor, in the treatment of Raynaud's syndrome: A double-blind trial". British Journal of Clinical Pharmacology. 15 Suppl 1 (Suppl 1): 113S–116S. doi:10.1111/j.1365-2125.1983.tb02119.x. PMC 1427695
. PMID 6337601. - ↑ DE 2950019
- ↑ Kochergin, P. M.; Palei, R. M.; Balandina, L. V.; Kharitonova, A. E.; Kravchenko, A. N.; Persanova, L. V.; Govorukhina, E. I.; Frolova, M. A. (1995). "Simplified synthesis of dazoxiben". Pharmaceutical Chemistry Journal. 29 (2): 139. doi:10.1007/BF02226528.
- ↑ Iizuka, Kinji; Akahane, Kenji; Momose, Denichi; Nakazawa, Masayuki; Tanouchi, Tadao; Kawamura, Masanori; Ohyama, Isao; Kajiwara, Ikuo; Iguchi, Yohichi (1981). "Highly selective inhibitors of thromboxane synthetase. 1. Imidazole derivatives". Journal of Medicinal Chemistry. 24 (10): 1139. doi:10.1021/jm00142a005. PMID 7199088.
- ↑ Cross, Peter E.; Dickinson, Roger P.; Parry, M. John; Randall, Michael J. (1985). "Selective thromboxane synthetase inhibitors. 1. 1-[(Aryloxy)alkyl]-1H-imidazoles". Journal of Medicinal Chemistry. 28 (10): 1427. doi:10.1021/jm00148a009. PMID 3930740.
This article is issued from Wikipedia - version of the 11/13/2015. The text is available under the Creative Commons Attribution/Share Alike but additional terms may apply for the media files.

