Alclofenac
![]() | |
| Clinical data | |
|---|---|
| AHFS/Drugs.com | International Drug Names |
| ATC code | M01AB06 (WHO) |
| Identifiers | |
| |
| CAS Number | 22131-79-9 |
| PubChem (CID) | 30951 |
| ChemSpider |
28714 |
| UNII |
M9CP5H21N8 |
| KEGG |
D01252 |
| ChEMBL |
CHEMBL94081 |
| Chemical and physical data | |
| Formula | C11H11ClO3 |
| Molar mass | 226.65624 g/mol |
| 3D model (Jmol) | Interactive image |
| |
| |
| (verify) | |
Alclofenac is a non-steroidal anti-inflammatory drug.
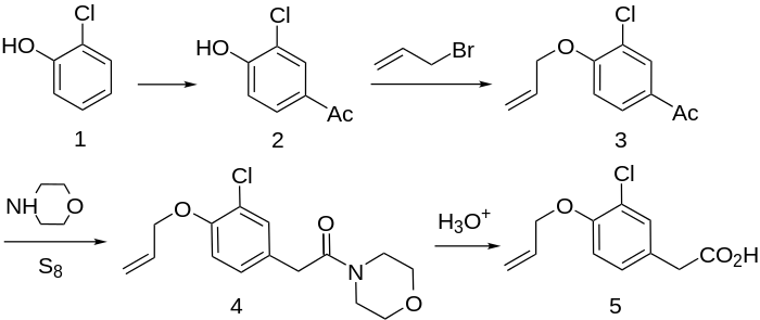
Synthesis

Alclofenac synth:[1] C Gillet, Hoi N Buu, G Lambelin; CA 831040 eidem U.S. Patent 3,824,277 (1975, 1974 to Madan Ag).
| Pyrazolones / Pyrazolidines | |
|---|---|
| Salicylates | |
| Acetic acid derivatives and related substances | |
| Oxicams | |
| Propionic acid derivatives (profens) |
|
| N-Arylanthranilic acids (fenamates) | |
| Coxibs | |
| Other | |
Items listed in bold indicate initially developed compounds of specific groups. #WHO-EM †Withdrawn drugs. ‡Veterinary use medications. | |
References
- ↑ G. Gariraghi, S. Banfi, U. Cornelli, M. Pinzaand G. Pifferi, II Farmaco, Ed. Sci., 32, 286 (1977).
This article is issued from Wikipedia - version of the 4/19/2016. The text is available under the Creative Commons Attribution/Share Alike but additional terms may apply for the media files.
