Dicycloverine
![]() | |
| Clinical data | |
|---|---|
| Trade names | Byclomine, Bentyl, Dibent, Di-Spaz, Dilomine |
| AHFS/Drugs.com | International Drug Names |
| MedlinePlus | a684007 |
| Pregnancy category | |
| ATC code | A03AA07 (WHO) |
| Legal status | |
| Legal status | |
| Pharmacokinetic data | |
| Protein binding | >99% |
| Biological half-life | 5 h |
| Identifiers | |
| |
| CAS Number |
77-19-0 |
| PubChem (CID) | 3042 |
| IUPHAR/BPS | 355 |
| DrugBank |
DB00804 |
| ChemSpider |
2934 |
| UNII |
4KV4X8IF6V |
| KEGG |
D07820 |
| ChEBI |
CHEBI:4514 |
| ChEMBL |
CHEMBL1123 |
| ECHA InfoCard | 100.000.919 |
| Chemical and physical data | |
| Formula | C19H35NO2 |
| Molar mass | 309.487 g/mol |
| 3D model (Jmol) | Interactive image |
| |
| |
| (verify) | |
Dicycloverine, also known as dicyclomine, is a prescription medication that relieves muscle spasms in the gastrointestinal tract through an apparent mechanism of nonselective smooth muscle relaxation, and that presents a range of anticholinergic side effects. It was first synthesized in the United States circa 1947.
Medical uses

Dicyclomine is used to treat intestinal hypermotility, and the symptoms of irritable bowel syndrome[1] (also known as spastic colon). It relieves muscle spasms in the gastrointestinal tract; while the mechanism or mechanisms of dicycloverine action were, as of 2004, unestablished, the drug "appears to act as nonselective smooth muscle relaxant."[1] The drug presents adverse events that are "manifestations of pharmacologic effects at muscarinic-cholinergic receptors," events which are "usually... reversible when therapy is discontinued."[1]
In the UK, it is an ingredient of a multiple-ingredient preparation, with an antiflatulent (simethicone) and two antacids, under the trade name Kolanticon. In India, it is of a compound with paracetamol under the trade name Cyclopam. It is also marketed as Meftal-SPAS containing mefenamic acid along with dicyclomine hydrochloride as an analgesic and antispasmodic. Also it is a part of Normaxin containing two other salts clidinium bromide and chlordiazepoxide.
Side effects
Dicycloverine can cause a range of anticholinergic side effects such as dry mouth, nausea,[1] and, at higher doses, deliriant effects. Recreational use of this drug for its anticholinergic effects (both low dose for euphoria and high dose for delirium) has been rarely reported.
Precautions
Because dicycloverine is known to "impair mental alertness or physical coordination," those taking the drug should "avoid driving or operating machinery until effect on [the] individual are known."[1] It is also important that women inform their clinicians "if they are or plan to become pregnant or plan to breast-feed."[1]
Discovery
Chemical synthesis in discovery

Dicycloverine was first synthesized chemically in the United States circa 1945 (with patent from Wm S Merrell Company filed in January 1946, presentation at the September 1946 meeting of the Medicinal Chemistry Section of the A.C.S., and publication of the preparation in that Society's journal in November 1947).[2][3]
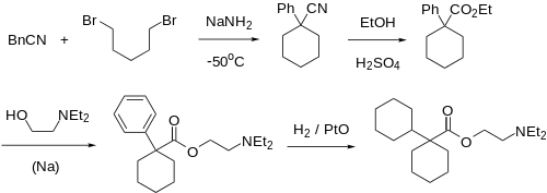
The discovery synthesis came in the preparation of a family of aminoesters of 1-substituted cycloalkane-carboxylic acids, and proceeded for this specific compound (see scheme) via "condensation" (double alkylation) of phenylacetonitrile with 1,5-dibromopentane in the presence of sodamide (NaNH2) dissolved in diethyl ether-liquid ammonia at low-temperature, which gave the 1,1-disubstituted cyclohexanenitrile. Alcoholysis of that nitrile in ethanol (EtOH) and sulfuric acid (H2SO4) gave the corresponding carboxylic acid ethyl ester, which was transesterified as its crude mixture in toluene or xylene with 2-(diethylamino)ethanol [a sodium (Na)-catalysed reaction]. Catalytic hydrogenation using hydrogen gas (H2) over Adam's catalyst (PtO2, abbreviated here PtO) in acetic acid reduced the aromatic ring of the original phenylacetonitrile the corresponding second cyclohexane ring,[4] to give the final drug.[2]
References
- 1 2 3 4 5 6 AHFS Staff (2006). "Dicyclomine hydrochloride". AHFS DI Essentials. Bethesda, MD: American Society of Health-System Pharmacists / drugs.com. Retrieved November 12, 2016.
- 1 2 3 Tilford, C. H.; Van Campen, Jr., M. G.; Shelton, R. S. (1947). "Aminoesters of Substituted Alicylic Carboxylic Acids". Journal of the American Chemical Society. 69 (11): 2902–2906. doi:10.1021/ja01203a077.
- ↑ US patent 2474796A, Van Campen, Jr., Marces George & Tilford, Charles Harmon, "Alkylaminoalkyl esters of alicyclyl-alicyclic carboxylic acids", published June 28, 1949, assigned to Wm S Merrell Co.
- ↑ The generation of Adam's catalyst in this situation is inferred; see Norman, Richard O.C. & Coxon, James M. (1993). Principles of Organic Synthesis (3rd ed.). Boca Raton, FL: CRC Press. p. 631 and passim. ISBN 0748761624. The involvement of transfer hydrogenation is not ruled out by the primary source description.
Further reading
- Brenner, G. M. (2000). Pharmacology. Philadelphia, PA: W.B. Saunders. ISBN 0721677576.
- [Canadian Pharmacists Association, CPA], ed. (2000). Pharmacology (25th ed.). Toronto, ON: CPA/Webcom. ISBN 0919115764.
- ASHP Staff (November 12, 2016). "Dicyclomine". Medline Plus. U.S. National Library of Medicine. Retrieved November 12, 2016.
External links
- "Dicyclomine". Medicine Net.
