Sulfamerazine
![]() | |
| Clinical data | |
|---|---|
| AHFS/Drugs.com | International Drug Names |
| ATC code | D06BA06 (WHO) J01ED07 (WHO) QJ01EQ17 (WHO) |
| Identifiers | |
| |
| CAS Number |
127-79-7 |
| PubChem (CID) | 5325 |
| DrugBank |
DB01581 |
| ChemSpider |
5134 |
| UNII |
UR1SAB295F |
| KEGG |
D02435 |
| ChEBI |
CHEBI:102130 |
| ChEMBL |
CHEMBL438 |
| ECHA InfoCard | 100.004.425 |
| Chemical and physical data | |
| Formula | C11H12N4O2S |
| Molar mass | 264.305 g/mol |
| 3D model (Jmol) | Interactive image |
| |
| |
| (verify) | |
Sulfamerazine is a sulfonamide antibacterial.
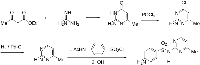
Synthesis

See also
References
- ↑ Roblin, R. O.; Williams, J. H.; Winnek, P. S.; English, J. P. (1940). "Chemotherapy. II. Some Sulfanilamido Heterocycles1". Journal of the American Chemical Society. 62 (8): 2002. doi:10.1021/ja01865a027.
- ↑ Sprague, J. M.; Kissinger, L. W.; Lincoln, R. M. (1941). "Sulfonamido Derivatives of Pyrimidines". Journal of the American Chemical Society. 63 (11): 3028. doi:10.1021/ja01856a046.
External links
Media related to Sulfonamide antibiotics at Wikimedia Commons
This article is issued from Wikipedia - version of the 4/2/2016. The text is available under the Creative Commons Attribution/Share Alike but additional terms may apply for the media files.
