Zeranol
Zeranol|
|
| Clinical data |
|---|
Routes of administration |
Oral |
|---|
| Identifiers |
|---|
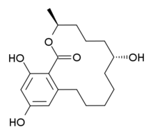
- (3S,7R)-7,14,16-Trihydroxy-3-methyl-3,4,5,6,7,8,9,10,11,12-decahydro-1H-2-benzoxacyclotetradecin-1-one
|
| Synonyms |
α-Zearalanol; Zearalanol; MK-188; P-1496 |
|---|
| CAS Number |
26538-44-3 N |
|---|
| PubChem (CID) |
2999413 |
|---|
| ChemSpider |
2271133 N |
|---|
| UNII |
76LO2L2V39 Y |
|---|
| ChEMBL |
CHEMBL371463 Y |
|---|
| ECHA InfoCard |
100.043.411 |
|---|
| Chemical and physical data |
|---|
| Formula |
C18H26O5 |
|---|
| Molar mass |
322.40 g·mol−1 |
|---|
| 3D model (Jmol) |
Interactive image |
|---|
C[C@H]1CCC[C@@H](CCCCCC2=C(C(=CC(=C2)O)O)C(=O)O1)O
|
InChI=1S/C18H26O5/c1-12-6-5-9-14(19)8-4-2-3-7-13-10-15(20)11-16(21)17(13)18(22)23-12/h10-12,14,19-21H,2-9H2,1H3/t12-,14+/m0/s1 NKey:DWTTZBARDOXEAM-GXTWGEPZSA-N N
|
N Y (what is this?) (verify) |
|---|
Zeranol (INN, USAN, BAN) (brand names Frideron, Ralabol, Ralgro, Ralone, Zerano; developmental code names MK-188, P-1496), or zearanol, also known as α-zearalanol or simply zearalanol, is a naturally occurring mycoestrogen found in fungi in the Fusarium genus and a non-steroidal estrogen used mainly as an anabolic agent in veterinary medicine.[1][2][3]
Zeranol is approved for use as a growth promoter in livestock, including beef cattle, under the brand name Ralgro (by Merck Animal Health) in the United States.[4] In Canada, it is approved for use in beef cattle only.[5] Its application is not approved for use in the European Union. However, it is marketed under the brand name Ralone in Spain.[2]
Although zeranol may increase cancer cell proliferation in already existing breast cancer,[6] dietary exposure from the use of zeranol-containing implants in cattle is insignificant.[7] Zeranol may be found as a contaminant in fungus-infected crops. It is 3 to 4 times more potent as an estrogen than the related compound zearalenone.[8]
See also
References
- ↑ J. Elks (14 November 2014). The Dictionary of Drugs: Chemical Data: Chemical Data, Structures and Bibliographies. Springer. pp. 350–. ISBN 978-1-4757-2085-3.
- 1 2 Index Nominum 2000: International Drug Directory. Taylor & Francis. January 2000. pp. 1105–. ISBN 978-3-88763-075-1.
- ↑ I.K. Morton; Judith M. Hall (6 December 2012). Concise Dictionary of Pharmacological Agents: Properties and Synonyms. Springer Science & Business Media. pp. 295–. ISBN 978-94-011-4439-1.
- ↑ Nichols, Wade; Hutcheson, John; Streeter, Marshall; Corrigan, Mark; Nuttelman, Brandon. "Implant Strategies for Finishing Cattle using Revalor® (trenbolone acetate and estradiol), Finaplix® (trenbolone) and/or Ralgro® (zeranol)" (PDF). Merck Animal Health.
- ↑ Health Canada, Questions and Answers - Hormonal Growth Promoters
- ↑ Xu, Pingping; Ye, Weiping; Jen, Robert; Lin, Shu-Hong; Kuo, Chieh-Ti; Lin, Young C. (2009-11-01). "Mitogenic activity of zeranol in human breast cancer cells is enhanced by leptin and suppressed by gossypol". Anticancer Research. 29 (11): 4621–4628. ISSN 1791-7530. PMID 20032412.
- ↑ Lindsay DG (August 1985). "Zeranol--a 'nature-identical' oestrogen?". Food Chem Toxicol. 23 (8): 767–74. PMID 2931335.
- ↑ Mirocha, CJ; Schauerhamer, B; Christensen, CM; Niku-Paavola, ML; Nummi, M (1979). "Incidence of zearalenol (Fusarium mycotoxin) in animal feed". Applied and Environmental Microbiology. 38 (4): 749–50. PMC 243572
. PMID 161492.
|
|---|
|
| ER | Agonists |
- Steroidal: 3α-Androstanediol
- 3β-Androstanediol
- 3α-Hydroxytibolone
- 3β-Hydroxytibolone
- 4-Androstenediol
- 4-Androstenedione
- 4-Hydroxyestradiol
- 4-Hydroxyestrone
- 5-Androstenediol
- 7-Oxo-DHEA
- 7α-Hydroxy-DHEA
- 7β-Hydroxyepiandrosterone
- 8,9-Dehydroestradiol
- 8,9-Dehydroestrone
- 8β-VE2
- 16α-Hydroxy-DHEA
- 16α-Hydroxyestrone
- 16α-Iodo-E2
- 16α-LE2
- 16β,17α-Epiestriol (16β-hydroxy-17α-estradiol)
- 17α-Dihydroequilenin
- 17α-Dihydroequilin
- 17α-Epiestriol (16α-hydroxy-17α-estradiol)
- 17β-Dihydroequilenin
- 17β-Dihydroequilin
- Abiraterone
- Abiraterone acetate
- 17α-Estradiol (alfatradiol)
- Alestramustine
- Almestrone
- Anabolic steroids (e.g., testosterone and esters, methyltestosterone, metandienone (methandrostenolone), nandrolone and esters, many others; via estrogenic metabolites)
- Atrimustine
- Bolandiol
- Bolandiol dipropionate
- Butolame
- Clomestrone
- Cloxestradiol
- DHEA
- DHEA-S
- Digitoxin (digitalis)
- Diosgenin
- Epiestriol (16β-epiestriol, 16β-hydroxy-17β-estradiol)
- Epimestrol
- Equilenin
- Equilin
- Estetrol
- Estradiol
- Estramustine
- Estramustine phosphate
- Estrapronicate
- Estrazinol
- Estriol
- Estrofurate
- Estromustine
- Estrone
- Etamestrol (eptamestrol)
- Ethinyl estradiol
- Ethinyl estriol
- Etynodiol diacetate
- Guggulsterone
- Hexolame
- Hydroxyestrone diacetate
- Mestranol
- Methylestradiol
- Moxestrol
- Mytatrienediol
- Nilestriol
- Noretynodrel
- Orestrate
- Pentolame
- Phytosterols (e.g., β-sitosterol, campesterol, stigmasterol)
- Polyestradiol phosphate
- Prodiame
- Prolame
- Promestriene
- Quinestradol
- Quinestrol
- Non-steroidal: (R,R)-THC
- (S,S)-THC
- 1-Keto-1,2,3,4-tetrahydrophenanthrene
- 2,8-DHHHC
- Allenoic acid
- Alternariol
- Anethole
- Anol
- Benzestrol
- Bifluranol
- Biochanin A
- Bisdehydrodoisynolic acid
- Carbestrol
- Chalconoids (e.g., isoliquiritigenin, phloretin, phlorizin (phloridzin), wedelolactone)
- Coumestans (e.g., coumestrol, psoralidin)
- Deoxymiroestrol
- Dianethole
- Dianol
- Diarylpropionitrile
- Dieldrin
- Dienestrol
- Diethylstilbestrol
- Dimestrol (dianisylhexene)
- Dimethylallenolic acid
- Doisynoestrol (fenocycline)
- Doisynolic acid
- Efavirenz
- Endosulfan
- ERB-196 (WAY-202196)
- Estrobin (DBE)
- Fenarimol
- Fenestrel
- FERb 033
- Flavonoids (incl. 7,8-DHF, 8-prenylnaringenin, apigenin, baicalein, baicalin, calycosin, catechin, daidzein, daidzin, ECG, EGCG, epicatechin, equol, formononetin, glabrene, glabridin, genistein, genistin, glycitein, kaempferol, liquiritigenin, mirificin, myricetin, naringenin, pinocembrin, prunetin, puerarin, quercetin, tectoridin, tectorigenin)
- Fosfestrol (diethylstilbestrol diphosphate)
- Furostilbestrol (diethylstilbestrol difuroate)
- GTx-758
- Hexestrol
- ICI-85966 (Stilbostat)
- Lavender oil
- Lignans (e.g., enterodiol, enterolactone)
- Mestilbol
- Metalloestrogens (e.g., cadmium)
- Methallenestril
- Methestrol
- Methestrol dipropionate
- Methiocarb
- Methoxychlor
- Miroestrol
- Nyasol (cis-hinokiresinol)
- Paroxypropione
- Pentafluranol
- Phenestrol
- Photoanethole
- Prinaberel (ERB-041, WAY-202041)
- Propylpyrazoletriol
- Resorcylic acid lactones (e.g., zearalanone, zearalenol, zearalenone, zeranol (α-zearalanol), taleranol (teranol, β-zearalanol))
- Quadrosilan
- SC-4289
- SKF-82,958
- Stilbenoids (e.g., resveratrol)
- Synthetic xenoestrogens (e.g., alkylphenols, bisphenols (e.g., BPA, BPF, BPS), DDT, parabens, PBBs, PHBA, phthalates, PCBs)
- Terfluranol
- WAY-166818
- WAY-200070
- Triphenylchlorethylene
- Triphenylmethylethylene
- WAY-214156
|
|---|
| | |
|---|
| Antagonists | |
|---|
|
|---|
|
| GPER | |
|---|
|
See also: Androgenics • Glucocorticoidics • Mineralocorticoidics • Progestogenics • Steroid hormone metabolism modulators |