Flestolol
![]() | |
| Names | |
|---|---|
| IUPAC name
3-{[1-(Carbamoylamino)-2-methyl-2-propanyl]amino}-2-hydroxypropyl 2-fluorobenzoate | |
| Identifiers | |
| 87721-62-8 | |
| 3D model (Jmol) | Interactive image |
| ChemSpider | 50465 |
| PubChem | 55885 |
| |
| |
| Properties | |
| C15H22FN3O4 | |
| Molar mass | 327.36 g·mol−1 |
| Except where otherwise noted, data are given for materials in their standard state (at 25 °C [77 °F], 100 kPa). | |
| Infobox references | |
Flestolol is a short-acting beta adrenergic receptor antagonist.[1]
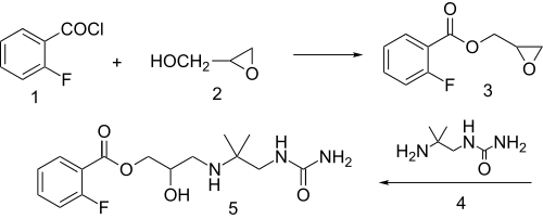
Synthesis

Flestolol synthesis:[2]
Acylation of glycidol (2) with the acid chloride 1 produces the ester 3. Reaction of that intermediate with amine 4, obtained by reaction of 1,1-dimethylethylenediamine with urea, gives flestolol (5).
References
- ↑ Quon, CY; Stampfli, HF (1993). "Biochemical characterization of flestolol esterase". Research communications in chemical pathology and pharmacology. 81 (3): 309–22. PMID 8235065.
- ↑ Kam, Sheung Tsam; Matier, William L.; Mai, Khuong X.; Barcelon-Yang, Cynthia; Borgman, Robert J.; O'Donnell, John P.; Stampfli, Herman F.; Sum, Check Y.; Anderson, William G. (1984). "[(Arylcarbonyl)oxy]propanolamines. 1. Novel .beta.-blockers with ultrashort duration of action". Journal of Medicinal Chemistry. 27 (8): 1007. doi:10.1021/jm00374a013. PMID 6146718.
This article is issued from Wikipedia - version of the 6/2/2016. The text is available under the Creative Commons Attribution/Share Alike but additional terms may apply for the media files.
