Tiodazosin
![]() | |
| Names | |
|---|---|
| IUPAC name
[4-(4-Amino-6,7-dimethoxyquinazolin-2-yl)piperazin-1-yl]-(5-methylsulfanyl-1,3,4-oxadiazol-2-yl)methanone | |
| Identifiers | |
| 66969-81-1 | |
| 3D model (Jmol) | Interactive image |
| ChemSpider | 54869 |
| PubChem | 60891 |
| |
| |
| Properties | |
| C18H21N7O4S | |
| Molar mass | 431.47 g·mol−1 |
| Except where otherwise noted, data are given for materials in their standard state (at 25 °C [77 °F], 100 kPa). | |
| Infobox references | |
Tiodazosin is an alpha-1 adrenergic antagonist.[1]
Synthesis

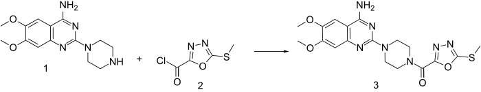
Tiodazosin synthesis:[2]
See also
References
- ↑ Chiang, J; Hermodsson, G; Oie, S (1991). "The effect of alpha 1-acid glycoprotein on the pharmacological activity of alpha 1-adrenergic antagonists in rabbit aortic strips". The Journal of pharmacy and pharmacology. 43 (8): 540–7. doi:10.1111/j.2042-7158.1991.tb03533.x. PMID 1681068.
- ↑ R. A. Partyka and R. R. Crenshaw, U.S. Patent 4,001,237 (1977); Chem. Abstr., 86; 140028r (1977).
This article is issued from Wikipedia - version of the 6/1/2016. The text is available under the Creative Commons Attribution/Share Alike but additional terms may apply for the media files.
