Rimiterol
![]() | |
![]() | |
| Clinical data | |
|---|---|
| ATC code | R03AC05 (WHO) |
| Identifiers | |
| |
| CAS Number |
32953-89-2 |
| PubChem (CID) | 36283 |
| ChemSpider |
33366 |
| UNII |
26GIW6ZLPH |
| ChEMBL |
CHEMBL1097630 |
| ECHA InfoCard | 100.046.627 |
| Chemical and physical data | |
| Formula | C12H17NO3 |
| Molar mass | 223.268 g/mol |
| 3D model (Jmol) | Interactive image |
| |
| |
| | |
Rimiterol (INN/USAN) is a third-generation[1] short-acting[2][3] β2 agonist.
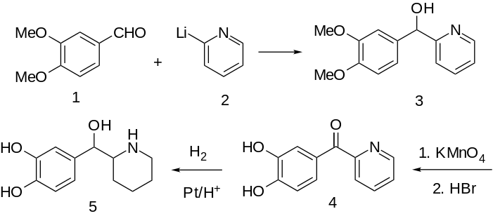
Synthesis

G. H. Sankey, K. D. E. Whiting, DE 2024049; idem, US 3910934 (1970, 1975 to 3M); C. Kaiser, S. T. Ross, DE 2047937; idem, US 3705169 (1971, 1972 to SK & F); G. H. Sankey, K. D. E. Whiting, J. Heterocycl. Chem. 9, 1049 (1972).
See also
- Isoprenaline
- Colterol
References
- ↑ Palma-Carlos, A. G.; Palma-Carlos, G. S. (1986). "Beta-2-agonists of Third Generation". Allergie et Immunologie. 18 (4): 31–32, 35. PMID 2899434.
- ↑ Lai, CK; Twentyman, OP; Holgate, ST (October 1989). "The Effect of an Increase in Inhaled Allergen Dose After Rimiterol Hydrobromide on the Occurrence and Magnitude of the Late Asthmatic Response and the Associated Change in Nonspecific Bronchial Responsiveness". The American Review of Respiratory Disease. 140 (4): 917–23. doi:10.1164/ajrccm/140.4.917. PMID 2572192.
- ↑ Ydreborg, SO; Svedmyr, N; Thiringer, G (April 1977). "Comparison of Rimiterol and Terbutaline, Given by Aerosol, in a Long-term Study". Scandinavian Journal of Respiratory Diseases. 58 (2): 117–24. PMID 16339.
This article is issued from Wikipedia - version of the 9/21/2016. The text is available under the Creative Commons Attribution/Share Alike but additional terms may apply for the media files.

