Sulfinalol
![]() | |
| Names | |
|---|---|
| IUPAC name
4-[1-Hydroxy-2-[4-(4-methoxyphenyl)butan-2-ylamino]ethyl]-2-methylsulfinylphenol | |
| Identifiers | |
| 66264-77-5 | |
| 3D model (Jmol) | Interactive image |
| PubChem | 44439 |
| |
| |
| Properties | |
| C20H27NO4S | |
| Molar mass | 377.50 g·mol−1 |
| Except where otherwise noted, data are given for materials in their standard state (at 25 °C [77 °F], 100 kPa). | |
| Infobox references | |
Sulfinalol is a beta adrenergic receptor antagonist.[1]
Synthesis
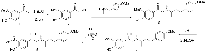
The methyl group on a sulfoxide is sufficiently acidic to substitute for phenolic hydroxyl.

The preparation of this combined α- and β-blocker sulfinalol begins by protection of the phenolic hydroxyl as its benzoate ester. Bromination followed by condensation with 4-(4-methoxyphenyl)butan-2-amine (not PMA) gives the aminoketone 3. Successive catalytic reduction and saponification affords aminoalcohol 4. Oxidation of the sulfide to the sulfoxide with a reaagent such as metaperiodate gives sulfinalol (5).
References
This article is issued from Wikipedia - version of the 11/12/2016. The text is available under the Creative Commons Attribution/Share Alike but additional terms may apply for the media files.
