Carboprost
![]() | |
| Clinical data | |
|---|---|
| AHFS/Drugs.com | Micromedex Detailed Consumer Information |
| MedlinePlus | a600042 |
| Pregnancy category |
|
| Routes of administration | Intramuscular |
| ATC code | G02AD04 (WHO) |
| Legal status | |
| Legal status |
|
| Identifiers | |
| |
| CAS Number |
35700-23-3 |
| PubChem (CID) | 5281075 |
| DrugBank |
DB00429 |
| ChemSpider |
4444532 |
| UNII |
U4526F86FJ |
| ChEMBL |
CHEMBL1237122 |
| Chemical and physical data | |
| Formula | C21H36O5 |
| Molar mass | 368.508 g/mol |
| 3D model (Jmol) | Interactive image |
| |
| |
| | |
Carboprost (INN, trade names for the tromethamine salts Hemabate, Tham) is a synthetic prostaglandin analogue of PGF2α (specifically, it is 15-methyl-PGF2α) with oxytocic properties.
Carboprost induces contractions and can trigger abortion in early pregnancy. It also reduces postpartum bleeding.
Indication
Used in postpartum hemorrhage caused by uterine atony not controlled by other methods. One study has shown that carboprost tromethamine is more effective than oxytocin in preventing postpartum hemorrhage in high-risk patients undergoing caesarian delivery.[1] Carboprost is also used for the termination of pregnancy in the 2nd trimester.[2]
Unlabeled use:
- Hemorrhagic Cystitis
- PID
Contraindication
Contraindicated in severe cardiovascular, renal, and hepatic disease. It is also contraindicated in acute Pelvic Inflammatory Disease. Hypersensitivity to carboprost or any of its components is also a contraindication[2] Exert caution in asthmatic patients as carboprost may cause bronchospasm.
Precautions
- asthma
- anemia
- jaundice
- diabetes mellitus
- seizure disorders
- past uterine surgery
Adverse Effects
- diarrhea (most common, may be sudden in onset)
- flushing or hot flashes
- fever
- chills
- nausea/vomiting
Storage and Availability
Carboprost is supplied with its salt derivative tromethamine in 1 milliliter ampules containing a 250 microgram/milliliter solution of the active drug. The drug must be refrigerated at a temperature between 2 – 8 degrees Celsius.[2]
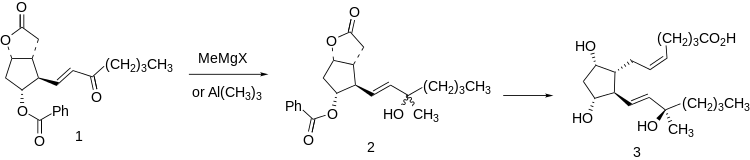
Synthesis
A significant deactivating metabolic transformation of natural prostaglandins is enzymatic oxidation of the C-15 hydroxyl to the corresponding ketone. This is prevented, with retention of activity, by methylation to give the C-15 tertiary carbinol series.

This molecular feature is readily introduced at the stage of the Corey lactone (1) by reaction with methyl Grignard reagent or trimethylaluminium. The resulting mixture of tertiary carbinols (2) is transformed to oxytocic carboprost (3) by standard transformations, including sepoaration of diastereomers, so that the final product is the C-15 analogue. This diastereomer is reputably freeer of porstaglandin side effects than the C-15 (S) isomer.
See also
- Arbaprostil
References
- ↑ Bai, J; Sun, Q; Zhai, H (2014). "A comparison of oxytocin and carboprost tromethamine in the prevention of postpartum hemorrhage in high-risk patients undergoing cesarean delivery.". Journal of Experimental and Therapeutic Medicine. 7 (1): 46–50. doi:10.3892/etm.2013.1379. PMID 24348762.
- 1 2 3 Hemabate [Package Insert]. New York, NY: Pharmacia and Upjohn Company; 2014.
- ↑ Yankee, Ernest W.; Axen, Udo; Bundy, Gordon L. (1974). "Total synthesis of 15-methylprostaglandins". Journal of the American Chemical Society. 96 (18): 5865. doi:10.1021/ja00825a027. PMID 4416671.
- ↑ Ann. N.Y. Acad. Sci. 180, 76 (1971).
External links
- Carboprost at the US National Library of Medicine Medical Subject Headings (MeSH)
- Indman P (2004). "Use of carboprost to facilitate hysteroscopic resection of submucous myomas". J Am Assoc Gynecol Laparosc. 11 (1): 68–72. doi:10.1016/S1074-3804(05)60014-X. PMID 15104835.
- Vukelić J (2001). "Second trimester pregnancy termination in primigravidas by double application of dinoprostone gel and intramuscular administration of carboprost tromethamine". Med Pregl. 54 (1–2): 11–6. PMID 11436877.
- Ippoliti C, Przepiorka D, Mehra R, Neumann J, Wood J, Claxton D, Gajewski J, Khouri I, van Besien K, Andersson B (1995). "Intravesicular carboprost for the treatment of hemorrhagic cystitis after marrow transplantation". Urology. 46 (6): 811–5. doi:10.1016/S0090-4295(99)80349-5. PMID 7502421.
