Norethisterone
![]() | |
![]() | |
| Clinical data | |
|---|---|
| Trade names | Conludag, Gesta Plan, Locilan 28 Day, Menzol, Micronor, Micronovum, Mini-Pe, Mini-Pill, Minovlar, Nor-Q.D., Norcolut, Noretisteron Dak, Norfor, Noriday 28, Noriday, Norlutin, Primolut N, Primolutin, Utovlan |
| AHFS/Drugs.com | International Drug Names |
| MedlinePlus | a604034 |
| Routes of administration | Oral |
| ATC code | G03AC01 (WHO) G03DC02 (WHO) |
| Pharmacokinetic data | |
| Bioavailability | 47–73% (mean 64%)[1] |
| Protein binding |
>95%: Albumin: 61%;[2] SHBG: 36%[2] |
| Metabolism | Mainly CYP3A4 (liver);[3] also 5α-/5β-reductase, 3α-/3β-HSD, and aromatase |
| Biological half-life | 5.2–12.8 hours (mean 8.0)[1] |
| Identifiers | |
| |
| Synonyms | NET; Norethindrone; NSC-9564; LG-202; Ethinylnortestosterone; Norpregneninolone; 17α-Ethynyl-19-nortestosterone; 17α-Ethynylestra-4-en-17β-ol-3-one |
| CAS Number |
68-22-4 |
| PubChem (CID) | 6230 |
| IUPHAR/BPS | 2880 |
| DrugBank |
DB00717 |
| ChemSpider |
5994 |
| UNII |
T18F433X4S |
| KEGG |
D00182 |
| ChEBI |
CHEBI:7627 |
| ChEMBL |
CHEMBL1162 |
| Chemical and physical data | |
| Formula | C20H26O2 |
| Molar mass | 298.419 g/mol |
| 3D model (Jmol) | Interactive image |
| |
| |
| (verify) | |
Norethisterone (NET) (INN, BAN), or norethindrone (USAN) (brand names Primolut N, Norlutin, Micronor, Utovlan, Noriday, numerous others), also known as 17α-ethynyl-19-nortestosterone, as well as 17α-ethynylestra-4-en-17β-ol-3-one, is a steroidal progestin with additional weak androgenic and estrogenic activity[2][4] that is used as a hormonal contraceptive in combined oral contraceptive pills and progestogen-only pills as well as alone or in combination with an estrogen for the treatment of gynecological disorders or hormone replacement therapy for menopause.[5][6] It is a synthetic progestogen with similar effects to those of natural progesterone like antigonadotropic, ovulation-inhibiting, and endometrial transformative.[7][8] A number of prodrugs of NET, including norethisterone acetate (NETA), norethisterone enanthate (NETE), etynodiol diacetate, lynestrenol, and quingestanol acetate, have also been marketed.[9][10][11]
Medical uses
Aside from its use as a contraceptive, NET can be used to treat premenstrual syndrome, dysmenorrhea, menorrhagia, irregular menstruation, menopausal symptoms (in combination with an estrogen), or to postpone a period. It is also commonly used to help prevent uterine hemorrhage in complicated non-surgical or pre-surgical gynecologic cases and in treating non responsive cyclical mastalgia.
Side effects
Androgenic
Due to its weak androgenic activity, NET can produce androgenic side effects such as acne, hirsutism, and voice changes of slight severity in some women at high dosages (e.g., 10 to 40 mg/day).[12] This is notably not the case with combined oral contraceptives that contain NET and ethinyl estradiol, however.[4] Such formulations contain low dosages of NET (0.35 to 1 mg/day)[4] in combination with estrogen and are actually associated with improvement in acne symptoms.[13][14] In accordance, they are in fact approved by the FDA for the treatment of acne in women in the United States.[13][14] The improvement in acne symptoms is believed to be due to a 2- to 3-fold increase in sex hormone-binding globulin (SHBG) levels and a consequent decrease in free testosterone levels caused by ethinyl estradiol, which results in an overall decrease in androgenic signaling in the body.[15]
The sebaceous glands are highly androgen-sensitive and their size and activity are potential markers of androgenic effect.[16] A high dosage of 20 mg/day NET or NETA has been found to significantly stimulate the sebaceous glands, whereas lower dosages of 5 mg/day and 2.5 mg/day NET and NETA, respectively, did not significantly stimulate sebum production and were consequently regarded as devoid of significant androgenicity.[16] Conversely, dosages of NET of 0.5 to 3 mg/day have been found to dose-dependently decrease SHBG levels (and hence to suppress hepatic SHBG production), which is another highly sensitive marker of androgenicity.[17]
A large clinical study of high to very high oral dosages of NET (10 to 40 mg/day) administered for prolonged periods of time (4 to 35 weeks) to prevent miscarriage in pregnant women found that 5.5% of the women experienced mild androgenic side effects such as mild voice changes (hoarseness), acne, and hirsutism and that 18.3% of female infants born to the mothers showed, in most cases only slight, virilization of the genitals.[12] Maternal androgenic symptoms occurred most often in women who received a dosage of NET of 30 mg/day or more for a period of 15 weeks or longer.[12] In the female infants who experienced virilization of the genitals, the sole manifestation in 86.7% of the cases was varied but almost always slight enlargement of the clitoris.[12] In the remaining 13.3% of the affected cases, marked clitoral enlargement and partial fusion of the labioscrotal folds occurred.[12] The dosages used in these cases were 20 to 40 mg/day.[12]
Estrogenic
NET is weakly estrogenic (via conversion into its metabolite ethinyl estradiol), and for this reason, it has been found at high dosages to be associated with high rates of estrogenic side effects such as breast enlargement in women and gynecomastia in men, but also with improvement of menopausal symptoms in postmenopausal women.[18] It has been suggested that very high dosages (e.g., 40 mg/day, which are sometimes used in clinical practice for various indications) of NETA (and by extension NET) may result in an increased risk of thrombosis analogously to high dosages (above 50 μg/day) of ethinyl estradiol, and that even dosages of NETA of 10 to 20 mg, which correspond to ethinyl estradiol dosages of approximately 20 to 30 μg/day, may in certain women be associated with increased risk.[19]
Pharmacology
NET binds to the progesterone receptor (PR) with approximately 150% of the affinity of progesterone and is a potent progestogen.[2] In contrast, its parent compounds, testosterone, nandrolone (19-nortestosterone), and ethisterone (17α-ethynyltestosterone), have 2%, 22%, and 44% of the relative binding affinity of progesterone for the PR.[8] NET has negligible affinity for the estrogen, glucocorticoid, and mineralocorticoid receptors, and in accordance, has no glucocorticoid or antimineralocorticoid activity.[2] However, it does have weak androgenic activity, as well as some estrogenic activity via an active metabolite.[2] Unlike NET, its major active metabolite 5α-dihydro-NET (5α-DHNET), which is formed by 5α-reductase, has been found to possess both progestogenic and marked antiprogestogenic activity,[20] although its affinity for the PR is greatly reduced relative to NET at only 25% of that of progesterone.[2] NET produces similar changes in the endometrium and vagina and is similarly thermogenic in women compared to progesterone, which is in accordance with its progestogenic activity.[21]
Androgenic activity
NET has approximately 15% of the affinity of the androgenic-anabolic steroid metribolone (R-1881) for the androgen receptor (AR), and in accordance, is weakly androgenic.[2] In contrast to NET, 5α-DHNET, the major metabolite of NET, shows higher affinity for the AR, with approximately 27% of the affinity of metribolone.[2] However, although 5α-DHNET has higher affinity for the AR than NET, it has significantly diminished and in fact almost abolished androgenic potency in comparison to NET in rodent bioassays.[22][23] Similar findings were observed for ethisterone (17α-ethynyltestosterone) and its 5α-reduced metabolite, whereas 5α-reduction enhanced both the AR affinity and androgenic potency of testosterone and nandrolone (19-nortestosterone) in rodent bioassays.[23] As such, it appears that the ethynyl group of NET at the C17α position is responsible for its loss of androgenicity upon 5α-reduction.[23]
NET (0.5 to 3 mg/day) has been found to dose-dependently decrease circulating SHBG levels, which is a common property of androgens and is due to AR-mediated suppression of hepatic SHBG production.[17] The drug also has estrogenic activity, and estrogens are known to increase SHBG hepatic production and circulating levels, so it would appear that the androgenic activity of NET overpowers its estrogenic activity in this regard.[17]
NET is bound to a considerable extent (36%) to SHBG in circulation.[2] Although it has lower affinity for SHBG than endogenous androgens and estrogens,[24] NET may displace testosterone from SHBG and thereby increase free testosterone levels, and this action may contribute to its weak androgenic effects.[25]
Estrogenic activity
NET binds to the estrogen receptors, the ERα and the ERβ, with 0.07% and 0.01% of the relative binding affinity of estradiol.[26] As such, it is essentially inactive itself as a ligand of the estrogen receptors.[2] However, NET has been found to be a substrate for aromatase and is converted in the liver to a small extent (0.35%) to the highly potent estrogen ethinyl estradiol, and for this reason, unlike most other progestins, NET has some estrogenic activity.[2] However, with typical dosages of NET used in oral contraceptives (0.5 to 1 mg), the levels of ethinyl estradiol produced are low, and it has been said that they are probably without clinical relevance.[2] Conversely, doses of 5 and 10 mg of NET, which are used in the treatment of gynecological disorders, are converted at rates of 0.7% and 1.0% and produce levels of ethinyl estradiol that correspond to those produced by 30 and 60 μg dosages of ethinyl estradiol, respectively.[1][2] The levels of ethinyl estradiol formed by 0.5 and 1 mg of NET have been calculated and estimated based on higher dosages as corresponding to 2 and 10 μg dosages of ethinyl estradiol, respectively.[1]
Neurosteroid activity
Like progesterone and testosterone, NET is metabolized into 3,5-tetrahydro metabolites.[27] Whether these metabolites of NET interact with the GABAA receptor similarly to the 3,5-tetrahydro metabolites of progesterone and testosterone like allopregnanolone and 3α-androstanediol, respectively, is a topic that requires clarification.[27]
Steroidogenesis inhibition
Inhibition of 5α-reductase
NET is a substrate for and is known to be an inhibitor of 5α-reductase, with 4.4% and 20.1% inhibition at 0.1 and 1 μM, respectively.[2] However, therapeutic concentrations of NET are in the low nanomolar range, so this action may not be clinically relevant at typical dosages.[2]
Inhibition of aromatase
NET and its major active metabolite 5α-DHNET have been found to act as irreversible aromatase inhibitors (Ki = 1.7 μM and 9.0 μM, respectively).[28] However, like the case of 5α-reductase, the concentrations required are probably too high to be clinically relevant at typical dosages.[2] 5α-DHNET specifically has been assessed and found to be selective in its inhibition of aromatase, and does not affect cholesterol side-chain cleavage enzyme (P450scc), 17α-hydroxylase/17,20-lyase, 21-hydroxylase, or 11β-hydroxylase.[28] Since it is not aromatized (and hence cannot be transformed into an estrogenic metabolite), unlike NET, 5α-DHNET has been proposed as a potential therapeutic agent in the treatment of ER-positive breast cancer.[28]
Other activities
NET is a very weak inhibitor of CYP2C9 and CYP3A4 (IC50 = 46 μM and 51 μM, respectively), but these actions require very high concentrations of NET that are far above therapeutic circulating levels (which are in the nanomolar range) and hence are probably not clinically relevant.[2]
NET and some of its 5α-reduced metabolites have been found to produce vasodilating effects in animals that are independent of sex steroid receptors and hence appear to be non-genomic in mechanism.[29]
Pharmacokinetics
Absorption
The oral bioavailability of NET is 47 to 73%, with an average of 64%.[1] Micronization has been found to significantly improve the oral bioavailability of NET by increasing intestinal absorption and reducing intestinal metabolism.[2] A single 2 mg oral dose of NET has been found to result in peak circulating levels of the drug of 12 ng/mL (40 nmol/L), whereas a single 1 mg oral dose of NET in combination with 2 mg estradiol resulted in peak levels of NET of 8.5 ng/mL (29 nmol/L) one-hour post-administration.[2]
Distribution
NET is 61% bound to albumin and 36% bound to SHBG in the blood.[2]
Metabolism
NET has a terminal half-life of 5.2 to 12.8 hours, with a mean of 8.0 hours.[1] The metabolism of NET is mainly via reduction of the Δ4 double bond to 5α- and 5β-dihydro-NET, which is followed by the reduction of the C3 keto group to the four isomers of 3,5-tetrahydro-NET.[2] These transformations are catalyzed by 5α- and 5β-reductase and 3α- and 3β-hydroxysteroid dehydrogenase both in the liver and in extrahepatic tissues such as the pituitary gland, uterus, prostate gland, vagina, and breast.[30] With the exception of 3α,5α- and 3β,5α-tetrahydro-NET, which have significant affinity for the ER and are estrogenic, the 3,5-tetrahydro metabolites of NET are inactive in terms of affinity for sex steroid receptors (PR, AR, and ER).[31][32][33] A small amount of NET is also converted by aromatase into ethinyl estradiol.[1][2][19] NET is metabolized in the liver via hydroxylation as well, mainly by CYP3A4, and inhibitors and inducers of CYP3A4 can significantly alter circulating levels of NET.[3] For instance, the CYP3A4 inducers rifampicin and bosentan have been found to decrease NET exposure by 42% and 23%, respectively, and the CYP3A4 inducers carbamazepine and St. John's wort have also been found to accelerate NET clearance.[3] Some conjugation (including glucuronidation and sulfation)[30][34] of NET and its metabolites occurs in spite of steric hindrance by the ethynyl group at C17α.[2] The ethynyl group of NET is preserved in approximately 90% of all of its metabolites.[2]
Chemistry
NET is an estrane (C18) steroid and a derivative of testosterone. It is also known as 17α-ethynyl-19-nortestosterone or as 17α-ethynylestra-4-en-17β-ol-3-one. In addition to testosterone, NET is a combined derivative of nandrolone (19-nortestosterone) and ethisterone (17α-ethynyltestosterone).
Synthesis
Synthesis 1
Estradiol methyl ether (1, EME) is partially reduced to the 1,5-diene (2) as also occurs for the first step in the synthesis of nandrolone. Oppenauer oxidation then transforms the 17β alcohol into a ketone functionality (3). This is then reacted with metal acetylide into the corresponding 17α-ethynyl compound (4). Hydrolysis of the enolether under mild conditions leads directly to (5),[36] which appears to be noretynodrel (although Lednicer states that it is "etynodrel" in his book (which may be a synonym etynodiol). Etynodrel is with a chlorine atom attached.) an orally active progestin. This is the progestogen component of the first oral contraceptive to be offered for sale (i.e., Enovid). Treatment of the ethynyl enol ether with strong acid acid leads to NET (6).[35]
In practice, these and all other so-called combination contraceptives are mixtures of 1–2% mestranol or ethinyl estradiol and an oral progestin. It has been speculated that the discovery of the necessity of estrogen in addition to progestin for contraceptive efficacy is due to the presence of a small amount of unreduced EME (1) in early batches of 2. This when subjected to oxidation and ethynylation, would of course lead to mestranol (3). In any event, the need for the presence of estrogen in the mixture is now well established experimentally.
Synthesis 2

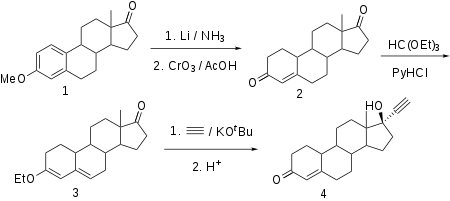
NET, 17α-ethynyl-19-nortestosterone, is made from estr-4-ene-3,17-dione, which in turn is synthesized by partial reduction of the aromatic region of the 3-O-methyl ether of estrone with lithium in liquid ammonia, and simultaneously of the keto group at C17 to a hydroxy group, which is then oxidized back to a keto group by chromium trioxide in acetic acid. The congugated C4-C5 olefin and the carbonyl group at C3 is then transformed to dienol ethyl ether using ethyl orthoformate. The obtained product is ethynylated by acetylene in the presence of potassium tert-butoxide. After HCl hydrolysis of the formed O-potassium derivative, during which the enol ether is also hydrolyzed, and the remaining double bond is shifted, the desired NET is obtained.
History
NET was synthesized for the first time by chemists Luis Miramontes, Carl Djerassi, and George Rosenkranz at Syntex in Mexico City in 1951.[35] It was the first highly active oral progestogen to be synthesized, and was preceded (as a progestogen) by progesterone (1934), ethisterone (1938), 19-norprogesterone (1944), and 17α-methylprogesterone (1949), as well as by nandrolone (1950), whereas noretynodrel (1952), and norethandrolone (1953) followed the synthesis of NET.[40][41] The drug was first introduced, alone as Norlutin, in the United States in 1957.[42] NET was subsequently introduced in combination with mestranol as Ortho-Novum in the U.S. in 1963, and was the second progestin, after noretynodrel in 1960, to be used in an oral contraceptive.[41] In 1964, additional contraceptive preparations containing NET in combination with mestranol or ethinyl estradiol, such as Norlestrin and Norinyl, were marketed in the U.S.[41]
Society and culture
Availability
United States
NET was previously available alone in 5 mg tablets under the brand name Norlutin in the U.S., but this formulation has since been discontinued in this country.[43] However, NETA remains available alone in 5 mg tablets under the brand names Aygestin and Norlutate in the U.S.[43] It is one of the only non-contraceptive progestogen-only drug formulations that remains available in the U.S.[43] The others include progesterone, medroxyprogesterone acetate, megestrol acetate, and hydroxyprogesterone caproate, as well as the atypical drug danazol.[43]
Both NET and NETA are also available in the U.S. as contraceptives.[43] NET is available both alone (brand names Camila, Errin, Heather, Micronor, Nor-QD, others) and in combination with ethinyl estradiol (Ortho-Novum, others) or mestranol (Norinyl), while NETA is available only in combination with ethinyl estradiol (Norlestrin, others).[43] NETE is not available in the U.S. in any form.[43][44][45]
References
- 1 2 3 4 5 6 7 Stanczyk FZ (2002). "Pharmacokinetics and potency of progestins used for hormone replacement therapy and contraception". Rev Endocr Metab Disord. 3 (3): 211–24. PMID 12215716.
- 1 2 3 4 5 6 7 8 9 10 11 12 13 14 15 16 17 18 19 20 21 22 23 24 25 Kuhl H (2005). "Pharmacology of estrogens and progestogens: influence of different routes of administration". Climacteric. 8 Suppl 1: 3–63. doi:10.1080/13697130500148875. PMID 16112947.
- 1 2 3 Korhonen T, Turpeinen M, Tolonen A, Laine K, Pelkonen O (2008). "Identification of the human cytochrome P450 enzymes involved in the in vitro biotransformation of lynestrenol and norethindrone". J. Steroid Biochem. Mol. Biol. 110 (1-2): 56–66. doi:10.1016/j.jsbmb.2007.09.025. PMID 18356043.
- 1 2 3 IARC Working Group on the Evaluation of Carcinogenic Risks to Humans; World Health Organization; International Agency for Research on Cancer (2007). Combined Estrogen-progestogen Contraceptives and Combined Estrogen-progestogen Menopausal Therapy. World Health Organization. pp. 417–. ISBN 978-92-832-1291-1.
Norethisterone and its acetate and enanthate esters are progestogens that have weak estrogenic and androgenic properties.
- ↑ J. Elks (14 November 2014). The Dictionary of Drugs: Chemical Data: Chemical Data, Structures and Bibliographies. Springer. pp. 886–. ISBN 978-1-4757-2085-3.
- ↑ Index Nominum 2000: International Drug Directory. Taylor & Francis. January 2000. pp. 749–. ISBN 978-3-88763-075-1.
- ↑ Linda E. McCuistion; Joyce LeFever Kee; Evelyn R. Hayes (25 March 2014). Pharmacology: A Patient-Centered Nursing Process Approach. Elsevier Health Sciences. pp. 846–. ISBN 978-0-323-29348-8.
- 1 2 Kuhl H (2011). "Pharmacology of Progestogens" (PDF). J Reproduktionsmed Endokrinol. 8 (1): 157–177.
- ↑ Hammerstein J (1990). "Prodrugs: advantage or disadvantage?". Am. J. Obstet. Gynecol. 163 (6 Pt 2): 2198–203. PMID 2256526.
- ↑ Edelman AB, Cherala G, Stanczyk FZ (2010). "Metabolism and pharmacokinetics of contraceptive steroids in obese women: a review". Contraception. 82 (4): 314–23. doi:10.1016/j.contraception.2010.04.016. PMID 20851224.
- ↑ Raynaud JP, Ojasoo T (1986). "The design and use of sex-steroid antagonists". J. Steroid Biochem. 25 (5B): 811–33. PMID 3543501.
Similar androgenic potential is inherent to norethisterone and its prodrugs (norethisterone acetate, ethynodiol diacetate, lynestrenol, norethynodrel, quingestanol [acetate]).
- 1 2 3 4 5 6 JACOBSON BD (1962). "Hazards of norethindrone therapy during pregnancy". Am. J. Obstet. Gynecol. 84: 962–8. PMID 14450719.
- 1 2 Junkins-Hopkins JM (2010). "Hormone therapy for acne". J. Am. Acad. Dermatol. 62 (3): 486–8. doi:10.1016/j.jaad.2009.12.002. PMID 20159314.
- 1 2 Arowojolu AO, Gallo MF, Lopez LM, Grimes DA (2012). "Combined oral contraceptive pills for treatment of acne". Cochrane Database Syst Rev (6): CD004425. doi:10.1002/14651858.CD004425.pub5. PMID 22696343.
- ↑ van Vloten WA, Sigurdsson V (2004). "Selecting an oral contraceptive agent for the treatment of acne in women". Am J Clin Dermatol. 5 (6): 435–41. PMID 15663340.
- 1 2 Pochi PE, Strauss JS (1965). "Lack of androgen effect on human sebaceous glands with low-dosage norethindrone". Am. J. Obstet. Gynecol. 93 (7): 1002–4. PMID 5843402.
- 1 2 3 Kuhnz W, Heuner A, Hümpel M, Seifert W, Michaelis K (1997). "In vivo conversion of norethisterone and norethisterone acetate to ethinyl etradiol in postmenopausal women". Contraception. 56 (6): 379–85. PMID 9494772.
[...] it has been shown that the repeated oral administration of NET at doses of 0.5 to 3.0 mg to fertile women caused a dose related decrease in the serum levels of SHBG.24 It should be borne in mind that, besides its progestational activity, NET is also characterized by a marked androgenic partial activity, which has a suppressive effect on the synthesis of SHBG and therefore compensates the effects of an additional exposure to EE, on the liver.
- ↑ PAULSEN CA, LEACH RB, LANMAN J, GOLDSTON N, MADDOCK WO, HELLER CG (1962). "Inherent estrogenicity of norethindrone and norethynodrel: comparison with other synthetic progestins and progesterone". J. Clin. Endocrinol. Metab. 22: 1033–9. doi:10.1210/jcem-22-10-1033. PMID 13942007.
- 1 2 Chu MC, Zhang X, Gentzschein E, Stanczyk FZ, Lobo RA (2007). "Formation of ethinyl estradiol in women during treatment with norethindrone acetate". J. Clin. Endocrinol. Metab. 92 (6): 2205–7. doi:10.1210/jc.2007-0044. PMID 17341557.
- ↑ Chu YH, Li QA, Zhao ZF, Zhou YP, Cao DC (1985). "[Antiprogestational action of 5 alpha-dihydronorethisterone]". Zhongguo Yao Li Xue Bao (in Chinese). 6 (2): 125–9. PMID 2934946.
- ↑ GREENBLATT RB (1956). "The progestational activity of 17-alpha-ethinyl-19-nortestosterone". J. Clin. Endocrinol. Metab. 16 (7): 869–75. doi:10.1210/jcem-16-7-869. PMID 13332050.
- ↑ Fragkaki AG, Angelis YS, Koupparis M, Tsantili-Kakoulidou A, Kokotos G, Georgakopoulos C (2009). "Structural characteristics of anabolic androgenic steroids contributing to binding to the androgen receptor and to their anabolic and androgenic activities. Applied modifications in the steroidal structure". Steroids. 74 (2): 172–97. doi:10.1016/j.steroids.2008.10.016. PMID 19028512.
Many synthetic steroids with high myotrophic activity exhibit myotrophic–androgenic dissociation, since, due to changes introduced in the structure of ring A, they will probably not be substrates for the 5α-reductases [85]. 5α-Reduction does not always amplify the androgenic potency in spite of high RBA of androgens to the AR. This is the case for norethisterone (Fig. 1, 34), a synthetic 19-nor-17α-ethynyl testosterone derivative, which also undergoes enzyme-mediated 5α-reduction and exerts potent androgenic effects in target organs. 5α-Reduced norethisterone displays a higher AR binding but shows a significantly lower androgenic potency than unchanged norethisterone [102,103].
- 1 2 3 Lemus AE, Enríquez J, García GA, Grillasca I, Pérez-Palacios G (1997). "5alpha-reduction of norethisterone enhances its binding affinity for androgen receptors but diminishes its androgenic potency". J. Steroid Biochem. Mol. Biol. 60 (1-2): 121–9. PMID 9182866.
- ↑ Marcus Filshie; John Guillebaud (22 October 2013). Contraception: Science and Practice. Elsevier Science. pp. 26–. ISBN 978-1-4831-6366-6.
Norethisterone binds to SHBG with less affinity than endogenous androgens and oestrogens [...]
- ↑ Ricardo Azziz (8 November 2007). Androgen Excess Disorders in Women. Springer Science & Business Media. pp. 124–. ISBN 978-1-59745-179-6.
- ↑ Kuiper GG, Carlsson B, Grandien K, Enmark E, Häggblad J, Nilsson S, Gustafsson JA (1997). "Comparison of the ligand binding specificity and transcript tissue distribution of estrogen receptors alpha and beta". Endocrinology. 138 (3): 863–70. doi:10.1210/endo.138.3.4979. PMID 9048584.
- 1 2 Giatti, Silvia; Melcangi, Roberto Cosimo; Pesaresi, Marzia (2016). "The other side of progestins: effects in the brain". Journal of Molecular Endocrinology. 57 (2): R109–R126. doi:10.1530/JME-16-0061. ISSN 0952-5041.
- 1 2 3 Yamamoto T, Tamura T, Kitawaki J, Osawa Y, Okada H (1994). "Suicide inactivation of aromatase in human placenta and uterine leiomyoma by 5 alpha-dihydronorethindrone, a metabolite of norethindrone, and its effect on steroid-producing enzymes". Eur. J. Endocrinol. 130 (6): 634–40. PMID 8205267.
- ↑ Perusquía M, Villalón CM, Navarrete E, García GA, Pérez-Palacios G, Lemus AE (2003). "Vasodilating effect of norethisterone and its 5 alpha metabolites: a novel nongenomic action". Eur. J. Pharmacol. 475 (1-3): 161–9. PMID 12954372.
- 1 2 Schoonen WG, Deckers GH, de Gooijer ME, de Ries R, Kloosterboer HJ (2000). "Hormonal properties of norethisterone, 7alpha-methyl-norethisterone and their derivatives". J. Steroid Biochem. Mol. Biol. 74 (4): 213–22. PMID 11162927.
[...] several mono- and disulphated as well as mono- and diglucuronidated metabolites of NET have been detected in urine from NET treated women [16,17]. In unconjugated form these NET (or MeNET) metabolites are represented by 5α- and 5β-reduced NET (5α-NET or 5β-NET) and by 3α- and 3β-hydrogenated 5α-NET and 5β-NET, leading to 3α,5α-NET, 3β,5α-NET, 3α,5β-NET and 3β,5β-NET or their corresponding MeNET metabolites (Figs. 1 and 2). These steroid conversions of NET or MeNET may take place in the liver, but also in the pituitary, endometrium, prostate, vagina and breast. The enzymes involved in these metabolic processes are 5α- and 5β-reductase as well as 3α- and 3β-hydroxysteroid dehydrogenase (HSD).
- ↑ Chávez BA, Vilchis F, Pérez AE, García GA, Grillasca I, Pérez-Palacios G (1985). "Stereospecificity of the intracellular binding of norethisterone and its A-ring reduced metabolites". J. Steroid Biochem. 22 (1): 121–6. PMID 3871879.
- ↑ Garza-Flores J, Vilchis F, García GA, Menjívar M, Pérez-Palacios G (1986). "A-ring reduction enhances the antigonadotropic potency of norethisterone". Acta Endocrinol. 112 (2): 278–83. PMID 3090814.
- ↑ Lemus AE, Enríquez J, Hernández A, Santillán R, Pérez-Palacios G (2009). "Bioconversion of norethisterone, a progesterone receptor agonist into estrogen receptor agonists in osteoblastic cells". J. Endocrinol. 200 (2): 199–206. doi:10.1677/JOE-08-0166. PMID 19008332.
- ↑ Scarsi, Kimberly K.; Darin, Kristin M.; Chappell, Catherine A.; Nitz, Stephanie M.; Lamorde, Mohammed (2016). "Drug–Drug Interactions, Effectiveness, and Safety of Hormonal Contraceptives in Women Living with HIV". Drug Safety. 39 (11): 1053–1072. doi:10.1007/s40264-016-0452-7. ISSN 0114-5916.
- 1 2 3 Djerassi, C.; Miramontes, L.; Rosenkranz, G.; Sondheimer, F. (1954). "Steroids. LIV.1Synthesis of 19-Nov-17α-ethynyltestosterone and 19-Nor-17α-methyltestosterone2". Journal of the American Chemical Society. 76 (16): 4092. doi:10.1021/ja01645a010.
- 1 2 Frank B. Colton, U.S. Patent 2,655,518 (1952 to Searle & Co).
- ↑ Ringold, H. J.; Rosenkranz, G.; Sondheimer, F. (1956). "Steroids. LXXX.11-Methyl-19-nortestosterone and 1-Methyl-17α-ethinyl-19-nortestosterone". Journal of the American Chemical Society. 78 (11): 2477. doi:10.1021/ja01592a037.
- ↑ Ueberwasser, H.; Heusler, K.; Kalvoda, J.; Meystre, C.; Wieland, P.; Anner, G.; Wettstein, A. (1963). "19-Norsteroide II. Ein einfaches Herstellungsverfahren für 19-Norandrostan-Derivate. über Steroide, 193. Mitteilung". Helvetica Chimica Acta. 46: 344. doi:10.1002/hlca.19630460135.
- ↑ Onken, D; Heublein, D (1970). "Ethinylated steroids". Die Pharmazie. 25 (1): 3–9. PMID 4914401.
- ↑ Donna Shoupe (7 November 2007). The Handbook of Contraception: A Guide for Practical Management. Springer Science & Business Media. pp. 15–. ISBN 978-1-59745-150-5.
- 1 2 3 Lara Marks (2010). Sexual Chemistry: A History of the Contraceptive Pill. Yale University Press. pp. 74, 76. ISBN 978-0-300-16791-7.
- ↑ William Andrew Publishing (22 October 2013). Pharmaceutical Manufacturing Encyclopedia, 3rd Edition. Elsevier. pp. 2935–. ISBN 978-0-8155-1856-3.
- 1 2 3 4 5 6 7 "Drugs@FDA: FDA Approved Drug Products" (HTML). United States Food and Drug Administration. Retrieved 27 November 2016.
- ↑ Vern L. Bullough (2001). Encyclopedia of Birth Control. ABC-CLIO. pp. 145–. ISBN 978-1-57607-181-6.
- ↑ Ellen H. Moskowitz; Bruce Jennings (13 September 1996). Coerced Contraception?: Moral and Policy Challenges of Long Acting Birth Control. Georgetown University Press. pp. 40–. ISBN 1-58901-807-9.
Further reading
- Schoonen WG, Deckers GH, de Gooijer ME, de Ries R, Kloosterboer HJ (2000). "Hormonal properties of norethisterone, 7alpha-methyl-norethisterone and their derivatives". J. Steroid Biochem. Mol. Biol. 74 (4): 213–22. PMID 11162927.


