Ocinaplon
![]() | |
| Clinical data | |
|---|---|
| ATC code | none |
| Identifiers | |
| |
| CAS Number |
96604-21-6 |
| PubChem (CID) | 216456 |
| IUPHAR/BPS | 4277 |
| ChemSpider |
187602 |
| UNII |
2H6KVC5E76 |
| KEGG |
D02617 |
| Chemical and physical data | |
| Formula | C17H11N5O |
| Molar mass | 301.302 g/mol |
| 3D model (Jmol) | Interactive image |
| |
| |
| (verify) | |
Ocinaplon is an anxiolytic drug in the pyrazolopyrimidine family of drugs. Other pyrazolopyrimidine drugs include zaleplon and indiplon.
Ocinaplon has a similar pharmacological profile to the benzodiazepine family of drugs, but with mainly anxiolytic properties and relatively little sedative or amnestic effect.[1]
Mechanism of action
The mechanism of action by which ocinaplon produces its anxiolytic effects is by modulating GABAA receptors,[2] although ocinaplon is more subtype-selective than most benzodiazepines.[3]
Availability
Development of ocinaplon is discontinued due to liver complications that occurred in one of the Phase III subjects.[4]
Synthesis

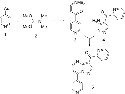
Condensation of 4-Acetylpyridine[8] with N,N-Dimethylformamide dimethyl acetal (DMFDMA) gives the "enamide" (3). This is then condensed with (3-Amino-1H-pyrazol-4-yl)(2-pyridinyl)methanone (4) (96219-90-8).[9][10] This is the same intermediate as was used in the synthesis of zaleplon in which the nitrile is replaced by a 2-acetylpyridil moiety. This affords the anxiolytic agent ocinaplon (5).
References
- ↑ Lippa, A; Czobor, P; Stark, J; Beer, B; Kostakis, E; Gravielle, M; Bandyopadhyay, S; Russek, S. J.; Gibbs, T. T.; Farb, D. H.; Skolnick, P (2005). "Selective anxiolysis produced by ocinaplon, a GABAA receptor modulator". Proceedings of the National Academy of Sciences. 102 (20): 7380–7385. doi:10.1073/pnas.0502579102. PMC 1129138
. - ↑ Mirza, N. R.; Rodgers, R. J.; Mathiasen, L. S. (2006). "Comparative cue generalization profiles of L-838, 417, SL651498, zolpidem, CL218,872, ocinaplon, bretazenil, zopiclone, and various benzodiazepines in chlordiazepoxide and zolpidem drug discrimination". Journal of Pharmacology and Experimental Therapeutics. 316 (3): 1291–9. doi:10.1124/jpet.105.094003. PMID 16339395.
- ↑ Atack, J. R. (2005). "The benzodiazepine binding site of GABA(A) receptors as a target for the development of novel anxiolytics". Expert Opinion on Investigational Drugs. 14 (5): 601–18. doi:10.1517/13543784.14.5.601. PMID 15926867.
- ↑ http://www.prnewswire.com/news-releases/dov-pharmaceutical-inc-places-ocinaplon-phase-iii-clinical-trial-on-hold-55011422.html
- ↑ Baumann, Marcus; Baxendale, Ian R (2013). "An overview of the synthetic routes to the best selling drugs containing 6-membered heterocycles". Beilstein Journal of Organic Chemistry. 9: 2265–319. doi:10.3762/bjoc.9.265. PMC 3817479
. PMID 24204439. - ↑ ARKIVOC 2010 (ii) 267-282
- ↑ a. Khalil, Mohamed; m. Sayed, Samia; a. Raslan, Mohamed (2012). "Heterocyclic Synthesis Via Enaminonitriles: One-Pot Synthesis of Some New Pyrazole, Pyrimidine, Pyrazolo[1,5-A]Pyrimidine and Pyrido[2,3-D]Pyrimidine Derivatives". American Journal of Organic Chemistry. 2 (6): 171. doi:10.5923/j.ajoc.20120206.07.
- ↑ "A-Amino Acetals: 2,2-Diethoxy-2-(4-Pyridyl)Ethylamine". Organic Syntheses. 64: 19. 1986. doi:10.15227/orgsyn.064.0019.
- ↑ U.S. Patent 4,900,836
- ↑ CA 1243029
