Clocental
![]() | |
![]() | |
| Identifiers | |
|---|---|
| |
| Synonyms | Dolcental |
| CAS Number |
562-94-7 |
| ChemSpider |
10757 |
| Chemical and physical data | |
| Formula | C10H14N2O3 |
| Molar mass | 210.22976 g/mol |
| 3D model (Jmol) | Interactive image |
| |
| |
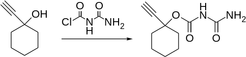
Clocental (dolcental) is a carbamate-derived sedative hypnotic. It can be prepared by the ethynylation of cyclohexanone followed by reaction with allophanyl chloride.[1]

Clocental synthesis
See also
References
| Alcohols | |
|---|---|
| Barbiturates |
|
| Benzodiazepines |
|
| Carbamates | |
| Flavonoids | |
| Imidazoles | |
| Kava constituents |
|
| Monoureides |
|
| Neuroactive steroids |
|
| Nonbenzodiazepines |
|
| Phenols | |
| Piperidinediones | |
| Pyrazolopyridines | |
| Quinazolinones | |
| Volatiles/gases |
|
| Others/unsorted |
|
See also: GABAergics | |
This article is issued from Wikipedia - version of the 10/12/2016. The text is available under the Creative Commons Attribution/Share Alike but additional terms may apply for the media files.

