Buspirone
![]() | |
![]() | |
| Clinical data | |
|---|---|
| Trade names | Buspar |
| AHFS/Drugs.com | Monograph |
| MedlinePlus | a688005 |
| Pregnancy category | |
| Routes of administration | Oral |
| ATC code | N05BE01 (WHO) |
| Legal status | |
| Legal status | |
| Pharmacokinetic data | |
| Bioavailability | ~4%[1] |
| Protein binding | 86-95%[1] |
| Metabolism | Hepatic mostly via CYP3A4[1] |
| Biological half-life | 2-3 hours[2] |
| Excretion | Urine (29-63%), Faeces (18-38%)[1] |
| Identifiers | |
| |
| CAS Number |
36505-84-7 |
| PubChem (CID) | 2477 |
| IUPHAR/BPS | 36 |
| DrugBank |
DB00490 |
| ChemSpider |
2383 |
| UNII |
TK65WKS8HL |
| KEGG |
D07593 |
| ChEBI |
CHEBI:3223 |
| ChEMBL |
CHEMBL49 |
| Chemical and physical data | |
| Formula | C21H31N5O2 |
| Molar mass | 385.50314 g/mol |
| 3D model (Jmol) | Interactive image |
| |
| |
| (verify) | |
Buspirone (/ˈbjuːspᵻroʊn/ BEW-spi-rohn), trade name Buspar, is an anxiolytic psychotropic drug of the azapirone chemical class.[3] It is primarily used to treat generalized anxiety disorder (GAD). Unlike most drugs predominantly used to treat anxiety, buspirone's pharmacology is not related to benzodiazepines or barbiturates, and so does not carry the risk of physical dependence and withdrawal symptoms for which those drug classes are known.
Buspirone was first identified by a team at Mead Johnson in 1972, but was not patented until 1975.[4][5]
In 1986, Bristol-Myers Squibb gained Food and Drug Administration (FDA) approval for buspirone in the treatment of GAD. The patent placed on buspirone expired in 2001 and buspirone is now available as a generic drug.
Medical uses
Buspirone is approved in the United States by the FDA for the treatment of anxiety disorders and the short-term relief of the symptoms of anxiety.[6] Likewise in Australia, buspirone is licensed for the treatment of anxiety disorders.[7][8] In the United Kingdom, buspirone is indicated only for the short-term treatment of anxiety.[9][10]
Although not approved for this indication, studies such as STAR*D have shown buspirone to be an effective augmentation agent alongside treatment with selective serotonin reuptake inhibitors (SSRIs) for clinical depression and is also used to counter the sexual side effects (anorgasmy and impotence) of the SSRI.[11][12][13][14]
Several clinical trials, most randomised double-blind trials (and in one buspirone was used as an adjunct to atomoxetine) and one open-label, have been conducted to evaluate the utility of buspirone in the treatment of attention deficit hyperactivity disorder with mostly positive results.[15][16][17][18]
Buspirone is also used in the treatment of mild to moderate cerebellar ataxia.[19]
Dosage
For generalized anxiety disorder (GAD): 15–60 mg. Starting dose is 5 mg, 3 times daily, average dosage being 20–30 mg a day. If symptoms still persist after several weeks then the dose may be titrated up to 60 mg. Due to buspirone's short half-life and linear pharmacokinetics,[20] dosage can be increased by 5 mg every two to three days.[21][22][23][24][25][26][27]
Adverse effects

Adverse effects by incidence[1][6][7][9] include:
Very common (>10% incidence)
- Dizziness/light-headedness
- Headache
- Somnolence (sleepiness)
- Premature ejaculation
Common (1-10% incidence)
- Nervousness
- Insomnia
- Sleep disorder
- Disturbance in attention
- Depression
- Confusional state
- Anger
- Tachycardia (fast heart rate)
- Chest pain
- Sinusitis (nasal congestion)
- Pharyngolaryngeal pain
- Paraesthesia (tingling skin)
- Blurred vision
- Abnormal coordination
- Tremor
- Cold sweat
- Rash
- Nausea
- Abdominal pain
- Dry mouth
- Diarrhea
- Constipation
- Vomiting
- Fatigue
- Musculoskeletal pain
Uncommon (0.1-1%)
- Syncope
- Hypotension
- Hypertension
- Redness and itching of the eyes
- Altered taste
- Conjunctivitis
- Flatulence
- Anorexia
- Increased appetite
- Salivation
- Rectal bleeding
- Urinary frequency
- Urinary hesitancy
- Menstrual irregularity or spotting
- Dysuria
- Muscle cramps
- Muscle spasms
- Muscle rigidity/stiffness
- Involuntary movements
- Shortness of breath
- Chest congestion
- Changes in libido
- Oedema
- Pruritus
- Flushing
- Easy bruising
- Dry skin
- Facial oedema
- Mild increases in hepatic aminotransferases (AST, ALT)
- Weight gain
- Fever
- Roaring sensation in the head
- Weight loss
- Malaise
- Depersonalisation
- Noise intolerance
- Euphoria
- Akathisia
- Fearfulness
- Loss of interest
- Dissociative reaction
Rare (<0.1% incidence)
- Cerebrovascular accident (stroke)
- Myocardial infarction (heart attack)
- Cardiomyopathy
- Congestive heart failure
- Bradycardia
- Dysphoria
- Hallucinations
- Feelings of claustrophobia
- Cold intolerance
- Stupor
- Seizures
- Slurred speech
- Extrapyramidal symptoms including dyskinesias (acute & delayed)
- Dystonic reactions
- Cogwheel rigidity
- Emotional lability
- Psychosis
- Suicidal ideation
- Ataxias
- Transient difficulty with recall
- Serotonin syndrome
- Parkinsonism
- Restless leg syndrome
- Restlessness
- Eye pain
- Altered sense of smell
- Photophobia
- Pressure on eyes
- Inner ear abnormality
- Tunnel vision
- Galactorrhoea
- Irritable colon
- Burning of the tongue
- Arthralgias
- Amenorrhoea (cessation of menstrual cycles)
- Enuresis
- Nocturia
- Pelvic inflammatory disease
- Urinary retention
- Hyperventilation
- Epistaxis
- Delayed ejaculation
- Impotence
- Acne
- Hair loss
- Blisters
- Thinning of nails
- Allergic reactions including urticaria, ecchymosis, angioedema
- Eosinophilia
- Leucopenia
- Thrombocytopaenia
- Alcohol abuse
- Bleeding disturbance
- Loss of voice
- Hiccoughs
- Thyroid abnormality
Contraindications
Buspirone has these contraindications:[28][29]
- Hypersensitivity to buspirone
- Metabolic acidosis, as in diabetes
- Should not be used with MAO inhibitors
- Severely compromised liver and/or renal function
Interactions
Buspirone has been shown in vitro to be metabolized by CYP3A4. This finding is consistent with the in vivo interactions observed between buspirone and these inhibitors or inducers of cytochrome P450 3A4 (CYP3A4), among others:[28]
- Itraconazole: Increased plasma level of buspirone
- Rifampicin: Decreased plasma levels of buspirone
- Nefazodone: Increased plasma levels of buspirone
- Haloperidol: Increased plasma levels of haloperidol
- Carbamazepine: Decreased plasma levels of buspirone
- Grapefruit: Significantly increases the plasma levels of buspirone.[30] See Grapefruit–drug interactions.
The occurrence of elevated blood pressure has been reported when buspirone hydrochloride has been added to a regimen including a monoamine oxidase inhibitor (MAOI).[28]
Overdose
Activated charcoal is believed to be an effective treatment for overdose, provided the patient is treated promptly. Expected symptoms (based on symptoms in male healthy volunteers treated with 375 mg/day — compared to the maximum daily licensed dosage in Australia, the UK, and the US):[6][7][9]
- Nausea
- Vomiting
- Dizziness
- Drowsiness
- Miosis
- Gastric distress
Buspirone appears to be relatively benign in cases of single-drug overdose, although no definitive data on this subject appear to be available.[31]
Pharmacology and mechanism
Buspirone functions as a serotonin 5-HT1A receptor partial agonist (IA = 0.465).[28][32][33] It is this action that is thought to mediate its anxiolytic and antidepressant effects.[34] Additionally, it functions as a presynaptic dopamine antagonist at the D2, D3 and D4 receptors.[28][35][36] Buspirone is also a partial α1 receptor agonist.[37][38][39] Buspirone also appears to produce some oxytocin stimulation via 5-HT1A receptor-induced action. Buspirone binds to 5-HT type 1A serotonin receptors on presynaptic neurons in the dorsal raphe and on postsynaptic neurons in the hippocampus, thus reducing the firing rate of 5-HT-containing neurons in the dorsal raphe. Buspirone also binds at dopamine type 2 (DA2) receptors, blocking presynaptic dopamine receptors. Buspirone increases firing in the locus ceruleus, an area of brain where norepinephrine cell bodies are found in high concentration. The net result of buspirone actions is that serotonergic activity is suppressed while noradrenergic and dopaminergic cell firing is enhanced. [40][41]
Binding Profile of Buspirone (towards cloned human receptors)[42]
| Receptor | Binding Affinity (Ki [nM]) | Action |
|---|---|---|
| 5-HT1A | 28.62 | Agonist |
| 5-HT2A | 138.03 | Agonist |
| 5-HT2B | 213.79 | Agonist |
| 5-HT2C | 489.77 | Agonist |
| D2 | 484 | Antagonist |
| D3 | 98 | Antagonist |
| D4 | 29 | Antagonist |
| α1 | Agonist | |
| α1D | Agonist |
Comparison to benzodiazepines
Buspirone's efficacy is comparable to that of members of the benzodiazepine family in treating GAD, although it tends to have a delayed onset of action.[43][44]
Abrupt discontinuation of diazepam after six weeks of continuous administration resulted in withdrawal symptoms. This was not the case when administration of buspirone was ceased after six weeks.[45] It may take several weeks before buspirone's anxiolytic effects become noticeable, and many patients may also need a higher dosage to adequately respond to treatment.[28]
Buspirone's chemical structure and mechanism of action are completely unrelated to those of benzodiazepines and is not effective as a treatment for benzodiazepine withdrawal.[46] Unlike benzodiazepines, buspirone is not a drug of abuse.[7]
Synthesis

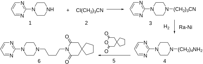
Alkylation of 1-(2-pyrimidyl)piperazine (1) with 3-chloro-1-cyanopropane (2, 4-chlorobutyronitrile) gives 3, which is reduced either by hydrogenation over Raney nickel catalyst, or with LAH. The resulting 1° amine (4) from the previous step is then reacted with 3,3-Tetramethyleneglutaric anhydride (5, 8-Oxaspiro[4.5]decane-7,9-dione) in order to yield buspirone (6).
analogues
References
- 1 2 3 4 5 "buspirone (Rx) - BuSpar, Buspirex, more..". Medscape Reference. WebMD. Retrieved 14 November 2013.
- ↑ http://www.rxlist.com/script/main/mobileart-rx.asp?drug=buspar&monotype=rx-cp&monopage=10
- ↑ "Commonly Prescribed Psychotropic Medications". NAMI. Retrieved 25 June 2014.
- ↑ Wu Y-H, Rayburn LE, Ferguson JW (1972). "Psychosedative agents. 2. 8-(4-Substituted 1-piperazinylalkyl)-8-azaspiro[4.5]decane-7,9-diones". J.Med.Chem. 15 (5): 477–479. doi:10.1021/jm00275a009. PMID 5035267.
- ↑ US Patent 3907801 N-(8 (4-pyridyl-piperazino)-alkyl(9 -azaspiroalkanediones
- 1 2 3 "BUSPIRONE HCL (buspirone hydrochloride) tablet [Watson Laboratories, Inc.]". DailyMed. Watson Laboratories, Inc. July 2013. Retrieved 14 November 2013.
- 1 2 3 4 "BUSPAR® (buspirone hydrochloride) Tablets 5 mg & 10 mg PRODUCT INFORMATION" (PDF). TGA eBusiness Services. Aspen Pharma Pty Ltd. January 2010. Retrieved 14 November 2013.
- ↑ Rossi, S, ed. (2013). Australian Medicines Handbook (2013 ed.). Adelaide: The Australian Medicines Handbook Unit Trust. ISBN 978-0-9805790-9-3.
- 1 2 3 "Buspirone 10mg Tablets". electronic Medicines Compendium. Actavis UK Ltd. 10 September 2012. Retrieved 14 November 2013.
- ↑ Joint Formulary Committee. British National Formulary (BNF). Pharmaceutical Press. p. 224.
- ↑ "The STAR*D Trial: First Results". Psych Central. The Carlat Psychiaty Report. Retrieved 15 September 2014.
- ↑ National Institute Of Health. "Questions and Answers about the NIMH Sequenced Treatment Alternatives to Relieve Depression (STAR*D) Study — All Medication Levels". Retrieved 12 August 2012.
- ↑ Trivedi MH, Fava M, Wisniewski SR, Thase ME, Quitkin F, Warden D, Ritz L, Nierenberg AA, Lebowitz BD, Biggs MM, Luther JF, Shores-Wilson K, Rush AJ (March 2006). "Medication augmentation after the failure of SSRIs for depression". The New England Journal of Medicine. 354 (12): 1243–52. doi:10.1056/NEJMoa052964. PMID 16554526.
- ↑ Appelberg BG, Syvälahti EK, Koskinen TE, Mehtonen OP, Muhonen TT, Naukkarinen HH (June 2001). "Patients with severe depression may benefit from buspirone augmentation of selective serotonin reuptake inhibitors: results from a placebo-controlled, randomized, double-blind, placebo wash-in study". The Journal of Clinical Psychiatry. 62 (6): 448–52. doi:10.4088/JCP.v62n0608. PMID 11465522.
- ↑ Malhotra S, Santosh PJ (April 1998). "An open clinical trial of buspirone in children with attention-deficit/hyperactivity disorder". Journal of the American Academy of Child and Adolescent Psychiatry. 37 (4): 364–71. doi:10.1097/00004583-199804000-00013. PMID 9549956.
- ↑ Mohammadi MR, Hafezi P, Galeiha A, Hajiaghaee R, Akhondzadeh S (November 2012). "Buspirone versus Methylphenidate in the Treatment of Children with Attention- Deficit/ Hyperactivity Disorder: Randomized Double-Blind Study". Acta Medica Iranica. 50 (11): 723–8. PMID 23292622.
- ↑ Sutherland SM, Adler LA, Chen C, Smith MD, Feltner DE (April 2012). "An 8-week, randomized controlled trial of atomoxetine, atomoxetine plus buspirone, or placebo in adults with ADHD". The Journal of Clinical Psychiatry. 73 (4): 445–50. doi:10.4088/JCP.10m06788. PMID 22313788.
- ↑ Davari-Ashtiani R, Shahrbabaki ME, Razjouyan K, Amini H, Mazhabdar H (December 2010). "Buspirone versus methylphenidate in the treatment of attention deficit hyperactivity disorder: a double-blind and randomized trial" (PDF). Child Psychiatry and Human Development. 41 (6): 641–8. doi:10.1007/s10578-010-0193-2. PMID 20517641.
- ↑ http://archneur.jamanetwork.com/article.aspx?articleid=593671
- ↑ "The relationship between buspirone bioavailability and dose in healthy subjects". Biopharmaceutics & Drug Disposition. 6: 139–145. doi:10.1002/bdd.2510060205.
- ↑ List, RX. "Buspar Dosage". RX List. Retrieved 25 August 2014.
- ↑ "Clinical Effects of the 5-HT1A Partial Agonists in Depression: A Composite Analysis of Buspirone in the Treatment of Depression.". Journal of Clinical Psychopharmacology:.
- ↑ "Buspirone, a novel nonbenzodiazepine anxiolytic.". Clinical Pharmacy.
- ↑ "Clinical Studies of Buspirone". Psychopathology.
- ↑ "Effects of Buspirone on Agitation Associated With Dementia". The American Journal of Geriatric Psychiatry. 1: 82–84. doi:10.1097/00019442-199300110-00011.
- ↑ "Metabolism and disposition of buspirone". The American Journal of Medicine. 6: 139–145. doi:10.1002/bdd.2510060205.
- ↑ "The comparative efficacy of buspirone and diazepam in the treatment of anxiety.". The American Journal of Psychiatry.
- 1 2 3 4 5 6 "Buspirone monograph". Drugs.com. Retrieved 2011-08-27.
- ↑ Geddes, John; Gelder, Michael G.; Mayou, Richard (2005). Psychiatry. Oxford [Oxfordshire]: Oxford University Press. p. 237. ISBN 0-19-852863-9.
- ↑ Lilja JJ, Kivistö KT, Backman JT, Lamberg TS, Neuvonen PJ (December 1998). "Grapefruit juice substantially increases plasma concentrations of buspirone". Clinical Pharmacology and Therapeutics. 64 (6): 655–60. doi:10.1016/S0009-9236(98)90056-X. PMID 9871430.
- ↑ Fulton B, Brogden RN (January 1997). "Buspirone" (PDF). CNS Drugs. 7 (1): 68–88. doi:10.2165/00023210-199707010-00007.
- ↑ Blier P, Bergeron R, de Montigny C (May 1997). "Selective activation of postsynaptic 5-HT1A receptors induces rapid antidepressant response". Neuropsychopharmacology. 16 (5): 333–8. doi:10.1016/S0893-133X(96)00242-4. PMID 9109104.
- ↑ Zuideveld KP, Rusiç-Pavletiç J, Maas HJ, Peletier LA, Van der Graaf PH, Danhof M (December 2002). "Pharmacokinetic-pharmacodynamic modeling of buspirone and its metabolite 1-(2-pyrimidinyl)-piperazine in rats". The Journal of Pharmacology and Experimental Therapeutics. 303 (3): 1130–7. doi:10.1124/jpet.102.036798. PMID 12438536.
- ↑ Loane C, Politis M (2012). "Buspirone: what is it all about?". Brain Research. 1461: 111–8. doi:10.1016/j.brainres.2012.04.032. PMID 22608068.
- ↑ Shelton KL, Hendrick ES, Beardsley PM (May 2013). "Efficacy of buspirone for attenuating cocaine and methamphetamine reinstatement in rats". Drug and Alcohol Dependence. 129 (3): 210–6. doi:10.1016/j.drugalcdep.2013.01.003. PMC 3628295
. PMID 23374566. - ↑ Bergman J, Roof RA, Furman CA, Conroy JL, Mello NK, Sibley DR, Skolnick P (March 2013). "Modification of cocaine self-administration by buspirone (buspar®): potential involvement of D3 and D4 dopamine receptors". The International Journal of Neuropsychopharmacology. 16 (2): 445–58. doi:10.1017/S1461145712000661. PMID 22827916.
- ↑ "Role of α 1-adrenoceptors in the reduction of external carotid blood flow induced by buspirone and ipsapirone in the dog". Retrieved 17 September 2014.
- ↑ Maximiliano Marquez. "Pharmacological evidence for interactions between 5HT1A receptor agonists and subtypes of α1-adrenoceptors on rabbit aorta". Retrieved 17 September 2014.
- ↑ Manfrid Eltze; Helga König; Brigitte Ullrich; Thomas Grebe. "Buspirone functionally discriminates tissues endowed with α1-adrenoceptor subtypes A, B, D and L". European Journal of Pharmacology. 378: 69–83. doi:10.1016/S0014-2999(99)00426-4. Retrieved 17 September 2014.
- ↑ Uvnäs-Moberg K, Hillegaart V, Alster P, Ahlenius S (1996). "Effects of 5-HT agonists, selective for different receptor subtypes, on oxytocin, CCK, gastrin and somatostatin plasma levels in the rat". Neuropharmacology. 35 (11): 1635–40. doi:10.1016/S0028-3908(96)00078-0. PMID 9025112.
- ↑ Chiodera P, Volpi R, Capretti L, Caffarri G, Magotti MG, Coiro V (April 1996). "Different effects of the serotonergic agonists buspirone and sumatriptan on the posterior pituitary hormonal responses to hypoglycemia in humans". Neuropeptides. 30 (2): 187–92. doi:10.1016/S0143-4179(96)90086-4. PMID 8771561.
- ↑ Roth BL, Driscol J (12 January 2011). "PDSP Ki Database". Psychoactive Drug Screening Program (PDSP). University of North Carolina at Chapel Hill and the United States National Institute of Mental Health. Archived from the original on 8 November 2013. Retrieved 14 November 2013.
- ↑ Cohn JB, Rickels K (1989). "A pooled, double-blind comparison of the effects of buspirone, diazepam and placebo in women with chronic anxiety". Current Medical Research and Opinion. 11 (5): 304–20. doi:10.1185/03007998909115213. PMID 2649317.
- ↑ Goldberg HL, Finnerty RJ (September 1979). "The comparative efficacy of buspirone and diazepam in the treatment of anxiety". The American Journal of Psychiatry. 136 (9): 1184–7. doi:10.1176/ajp.136.9.1184. PMID 382878.
- ↑ Murphy SM, Owen R, Tyrer P (April 1989). "Comparative assessment of efficacy and withdrawal symptoms after 6 and 12 weeks' treatment with diazepam or buspirone". The British Journal of Psychiatry. 154 (4): 529–34. doi:10.1192/bjp.154.4.529. PMID 2686797.
- ↑ Sontheimer DL, Ables AZ (March 2001). "Is imipramine or buspirone treatment effective in patients wishing to discontinue long-term benzodiazepine use?". The Journal of Family Practice. 50 (3): 203. PMID 11252203.
- ↑ Allen LE, Ferguson HC, Kissel JW (May 1972). "Psychosedative agents. 2. 8-(4-Substituted 1-piperazinylalkyl)-8-azaspiro(4.5)decane-7,9-diones". Journal of Medicinal Chemistry. 15 (5): 477–9. doi:10.1021/jm00275a009. PMID 5035267.

